Get premium membership and access questions with answers, video lessons as well as revision papers.
- The gradient of the tangent to the curve y = ax3 + bx at the point (1,1) is —5. Calculate the values of a and b
The gradient of the tangent to the curve y = ax3 + bx at the point (1,1) is —5. Calculate the values of a and b
Date posted: March 7, 2019
- The angle of elevation of the top of a cliff from point p is 450. From a point Q which is 10m from P towards the foot of the cliff,the angle of elevation is 480.Calculate the height of the cliff.
The angle of elevation of the top of a cliff from point p is 450. From a point Q which is 10m from P towards the foot of the cliff,the angle of elevation is 480.Calculate the height of the cliff.
Date posted: March 7, 2019
- Water flows from a tap at the rate of 27cm3/second,into a rectangular tank of length 60cm,width 30cm and height 40cm.If at 6:00p.m. the container was half full,what will be the height of the water at 6:04p.m.
Water flows from a tap at the rate of 27cm3/second,into a rectangular tank of length 60cm,width 30cm and height 40cm.If at 6:00p.m. the container was half full,what will be the height of the water at 6:04p.m.
Date posted: March 7, 2019
- The mass of 6 similar art books and 4 similar biology books is 7.2kg. The mass of 2 such art books and 3 such biology books is 3.4kg. Find the mass of one art book and the mass of one biology book.
The mass of 6 similar art books and 4 similar biology books is 7.2kg. The mass of 2 such art books and 3 such biology books is 3.4kg. Find the mass of one art book and the mass of one biology book.
Date posted: March 7, 2019
- Three bells ring at intervals of 9 minutes,15 minutes and 21 minutes.The bells will ring together at 11:00p.m. Find the time the bells last rang together.
Three bells ring at intervals of 9 minutes,15 minutes and 21 minutes.The bells will ring together at 11:00p.m. Find the time the bells last rang together.
Date posted: March 7, 2019
- A salesman gets a commission of 2.4% on sales up-to sh.100,000.He gets an additional commission of 1.5% on sales above this.Calculate the commission he gets on sales worth sh.280,000.
A salesman gets a commission of 2.4% on sales up-to sh.100,000.He gets an additional commission of 1.5% on sales above this.Calculate the commission he gets on sales worth sh.280,000.
Date posted: March 7, 2019
- Factorize
2x2 -5xy -12y2
Factorize
2x2 -5xy -12y2
Date posted: March 7, 2019
- Solve the following:
4= 3x-2<9 +x hence list the integral values that satisfies the inequality.
Solve the following:
4= 3x-2<9 +x hence list the integral values that satisfies the inequality.
Date posted: March 7, 2019
- Calculate the price of the flour mill in the question below

Date posted: March 11, 2019
- An aircraft took off from a point P(650s,760w) and flew due north to a point Q. The distance between P and Q is 5400nm. Determine the position of Q.
An aircraft took off from a point P(650s,760w) and flew due north to a point Q. The distance between P and Q is 5400nm. Determine the position of Q.
Date posted: March 11, 2019
- Given that cos 2xo = 0.8070, find x when 00 = x = 1800
Given that cos 2xo = 0.8070, find x when 00 = x = 1800
Date posted: March 11, 2019
- A trader sells a bag of beans for sh 2,100 and that of maize for 1,200. He mixed beans and maize in the ratio 3:2. Find how much the trader should sell a bag of the mixture to realize the same profit.
A trader sells a bag of beans for sh 2,100 and that of maize for 1,200. He mixed beans and maize in the ratio 3:2. Find how much the trader should sell a bag of the mixture to realize the same profit.
Date posted: March 11, 2019
- A bag contains 10 balls of which 3 are red, 5 are white and two are green. Another bag contains 12 balls of which 4 are red, 3 are white and 5 are green.
A bag contains 10 balls of which 3 are red, 5 are white and two are green. Another bag contains 12 balls of which 4 are red, 3 are white and 5 are green. A bag is chosen at random and then a ball chosen at random from the bag. Find the probability that the ball so chosen is red.
Date posted: March 11, 2019
- Find the approximate value of (1.05)8 to 2 decimal places.

Date posted: March 11, 2019
- A colony of insects was found to have 250 insects at the beginning. Thereafter the number of insects doubled every 2 days. Find how many insects there were after 16 days.
A colony of insects was found to have 250 insects at the beginning. Thereafter the number of insects doubled every 2 days. Find how many insects there were after 16 days.
Date posted: March 11, 2019
- Make V the subject of the formula

Date posted: March 11, 2019
- Find the inverse of the matrix

Date posted: March 11, 2019
- The average rate of depreciation in value of a water pump is 9% per annum. After three complete years its value was sh.150,700. Find its value at the start of the three-year period.
The average rate of depreciation in value of a water pump is 9% per annum. After three complete years its value was sh.150,700. Find its value at the start of the three-year period.
Date posted: March 11, 2019
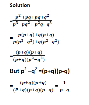
- Simplify the question below

Date posted: March 11, 2019
- A man walks 5km on a bearing of 3150 from a point A and then walks due south to a point B which is 8km from A. Calculate the bearing of B from A.
A man walks 5km on a bearing of 3150 from a point A and then walks due south to a point B which is 8km from A. Calculate the bearing of B from A.
Date posted: March 11, 2019