Trusted since 2008
Chat on WhatsApp

Form 3 Geography Paper 2 End Term 1 Examination 2023

KES 50
Secure M-PESA Paybill β€’ Instant digital delivery

1521 Views
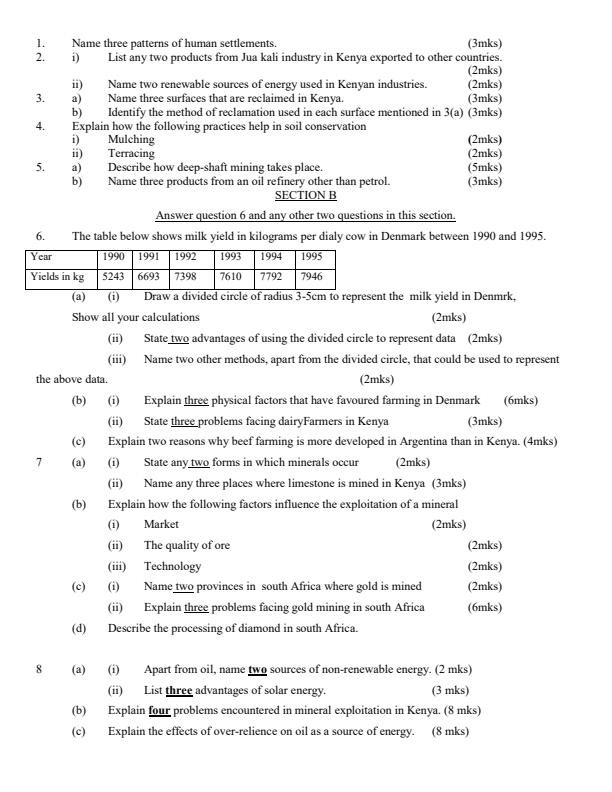
8 Downloads

Exam Summary

Form 3 Geography Paper 2 End Term 1 Examination 2023. This exam document has the question paper and it's marking scheme in both PDF and Word formats.
You’re viewing a preview. Buy Now to unlock the full document and download instantly after M-PESA payment.
  • Preview page Form-3-Geography-Paper-2-End-Term-1-Examination-2023_1503_0.jpg
  • Preview page Form-3-Geography-Paper-2-End-Term-1-Examination-2023_1503_1.jpg
........
This is the end of this exam preview. Buy to download the complete document.

More Examination Papers

View all exams β†’