Trusted since 2008
Chat on WhatsApp

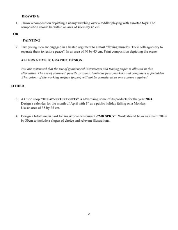
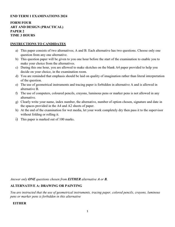
Form 4 Art and Design Paper 2 End of Term 1 Examination 2024

KES 50
Secure M-PESA Paybill β€’ Instant digital delivery

410 Views
1 Downloads

Exam Summary

Form 4 Art and Design Paper 2 End of Term 1 Examination 2024. This exam document has the question paper and it's marking scheme in both PDF and Word formats.
You’re viewing a preview. Buy Now to unlock the full document and download instantly after M-PESA payment.
  • Preview page Form-4-Art-and-Design-Paper-2-End-of-Term-1-Examination-2024_2252_0.jpg
  • Preview page Form-4-Art-and-Design-Paper-2-End-of-Term-1-Examination-2024_2252_1.jpg
........
This is the end of this exam preview. Buy to download the complete document.

More Examination Papers

View all exams β†’