Trusted since 2008
Chat on WhatsApp

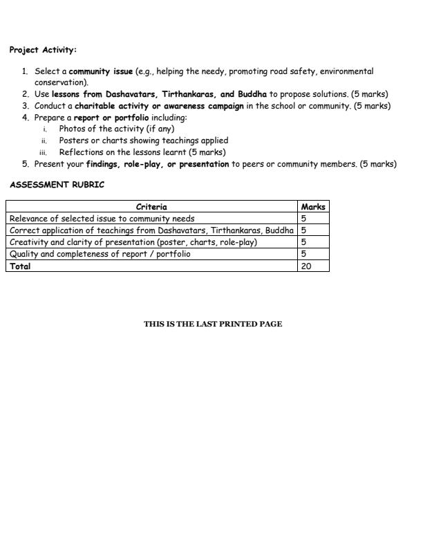
Grade 10 HRE Project Mid Term 1 Exam 2026

KES 50
Secure M-PESA Paybill β€’ Instant digital delivery

137 Views
0 Downloads

Exam Summary

Download the Grade 10 HRE Project Mid Term 1 Exam 2026 with marking scheme. Perfect for teachers and students to prepare effectively and assess understanding. Access comprehensive questions and detailed answers for optimal exam readiness.
You’re viewing a preview. Buy Now to unlock the full document and download instantly after M-PESA payment.
  • Preview page Grade-10-HRE-Project-Mid-Term-1-Exam-2026_5171_0.jpg
  • Preview page Grade-10-HRE-Project-Mid-Term-1-Exam-2026_5171_1.jpg
........
This is the end of this exam preview. Buy to download the complete document.

More Examination Papers

View all exams β†’