Trusted since 2008
Chat on WhatsApp

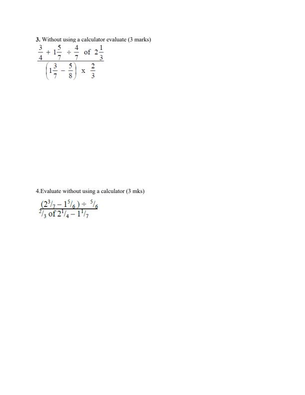
Form 1 Mathematics Mid Term 1 Examination 2020

KES 50
Secure M-PESA Paybill β€’ Instant digital delivery

1508 Views
41 Downloads

Exam Summary

Download Form 1 Mathematics Mid Term 1 Examination 2020
This exam document contains both the question paper and Marking scheme in PDF and MS Word formats
You’re viewing a preview. Buy Now to unlock the full document and download instantly after M-PESA payment.
  • Preview page Form-1-Mathematics-Mid-Term-1-Examination-2020_538_0.jpg
  • Preview page Form-1-Mathematics-Mid-Term-1-Examination-2020_538_1.jpg
  • Preview page Form-1-Mathematics-Mid-Term-1-Examination-2020_538_2.jpg
........
This is the end of this exam preview. Buy to download the complete document.

More Examination Papers

View all exams β†’