Trusted since 2008
Chat on WhatsApp

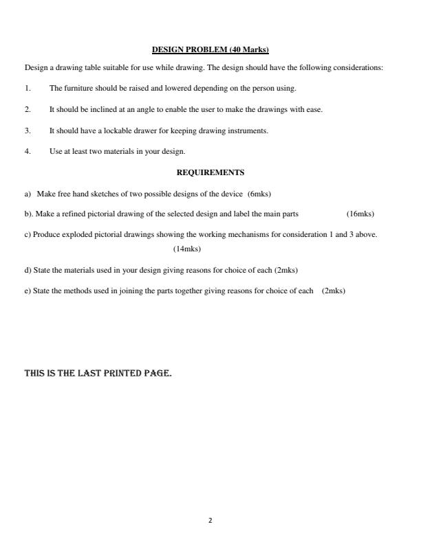
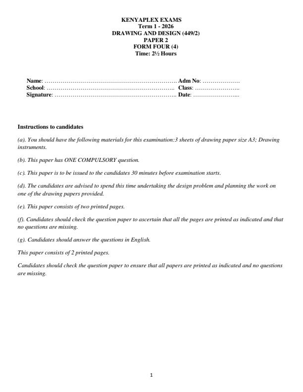
Form 4 Drawing and Design Paper 2 End Term 1 Exam 2026

KES 50
Secure M-PESA Paybill β€’ Instant digital delivery

170 Views
3 Downloads

Exam Summary

Download the Form 4 Drawing and Design Paper 1 End Term 1 Exam 2026 with marking scheme. Perfect for teachers and students to practice and prepare effectively for upcoming exams.
You’re viewing a preview. Buy Now to unlock the full document and download instantly after M-PESA payment.
  • Preview page Form-4-Drawing-and-Design-Paper-1-End-Term-1-Exam-2026_5492_0.jpg
  • Preview page Form-4-Drawing-and-Design-Paper-1-End-Term-1-Exam-2026_5492_1.jpg
........
This is the end of this exam preview. Buy to download the complete document.

More Examination Papers

View all exams β†’