Trusted since 2008
Chat on WhatsApp

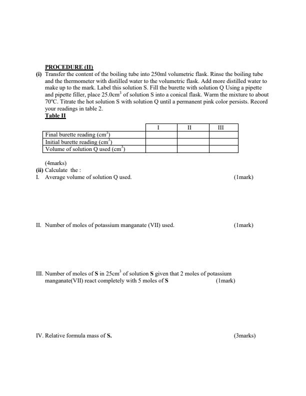
Chemistry Paper 3 Form 4 End of Term 1 Examination 2020

KES 50
Secure M-PESA Paybill β€’ Instant digital delivery

1080 Views
24 Downloads

Exam Summary

Chemistry Paper 3 Form 4 End of Term 1 Examination 2020
Contains both the question paper and Marking scheme in PDF and MS Word formats
You’re viewing a preview. Buy Now to unlock the full document and download instantly after M-PESA payment.
  • Preview page Chemistry-Paper-3-Form-4-End-of-Term-1-Examination-2020_700_0.jpg
  • Preview page Chemistry-Paper-3-Form-4-End-of-Term-1-Examination-2020_700_1.jpg
........
This is the end of this exam preview. Buy to download the complete document.

More Examination Papers

View all exams β†’