Study resources on Kenyaplex
Get ready-made curriculum aligned revision materials
Exam papers, notes, holiday assignments and topical questions –
all aligned to the Kenyan curriculum.
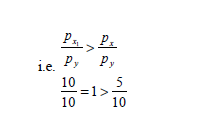
It is important to note that changes in price of commodities concerned and changes in income level affect the budget line.



Wilfykil answered the question on
March 6, 2019 at 13:02
Exams With Marking Schemes
Related Questions