Exam papers, notes, holiday assignments and topical questions – all aligned to the Kenyan curriculum.
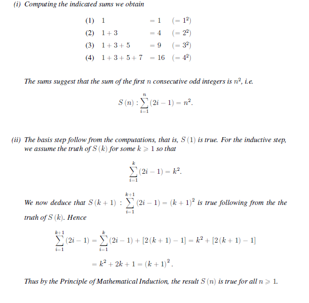
(i) Compute the sums 1, 1 + 3, 1 + 3 + 5, 1 + 3 + 5 + 7. From this conjecture (suggest) theformula for the sum of the first n consecutive odd integers.
Answer Attachments
Next: What are the similarities and differences between consumer behavior and production theory?
Previous: Determine the following statement:
View more Basic Mathematics Questions and Answers | Return to Questions Index
Date posted: March 6, 2019 . Answers (1)
Give reason(s) for each step needed to show that the following argument is valid
(i) If P;Q are primitive statements, use truth table to prove thatii) Write the dual of the logical equivalence in part (i).
Determine the truth value of each of the following implications(i) If 3 + 4 = 12, then 3 + 2 = 6.(ii) If Mwai Kibaki was the third president of Kenya, then 2 + 3 =5.