-
Best FM station broadcasts on a frequency of 250 KHz and the wavelength of its signals is 1200m.
(Solved)
Best FM station broadcasts on a frequency of 250 KHz and the wavelength of its signals is 1200m.
Calculate:
(i) The speed of radio waves in m/s
(ii) The wavelength of the signal of another station that broadcasts on a frequency of 200KHZ.
Date posted:
March 26, 2019
.
Answers (1)
-
The figure below shows a beaker containing molten candle wax. Indicate on the same diagram the position of the centre of gravity. When the candle...
(Solved)
The figure below shows a beaker containing molten candle wax. Indicate on the same diagram the position of the centre of gravity. When the candle wax solidifies.

Date posted:
March 26, 2019
.
Answers (1)
-
Give an example to demonstrate that waves carry energy
(Solved)
Give an example to demonstrate that waves carry energy
Date posted:
March 26, 2019
.
Answers (1)
-
Give an example which show that speed of a wave depends on the medium in which it travels.
(Solved)
Give an example which show that speed of a wave depends on the medium in which it travels.
Date posted:
March 26, 2019
.
Answers (1)
-
State ONE factor that does not change as water moves from shallow to deep part.
(Solved)
State ONE factor that does not change as water moves from shallow to deep part.
Date posted:
March 26, 2019
.
Answers (1)
-
Figure below represents a system in equilibrium.
(Solved)
Figure below represents a system in equilibrium.

Determine the force F needed to maintain the equilibrium.
Date posted:
March 26, 2019
.
Answers (1)
-
Figure below shows a displacement – time graph of a wave. The velocity of the wave is 50cm/s.
(Solved)
Figure below shows a displacement – time graph of a wave. The velocity of the wave is 50cm/s.

Determine the:
(i) Amplitude
(ii) Period
(iii) Wavelength
(iv) Frequency
Date posted:
March 26, 2019
.
Answers (1)
-
Some water was put in a burette so that the level read 35.6cm³. 50 drops were then allowed to fall from the burette. The average...
(Solved)
Some water was put in a burette so that the level read 35.6cm³. 50 drops were then allowed to fall from the burette. The average volume of one drop was 0.14cm³. What is the new reading of the burette?
Date posted:
March 26, 2019
.
Answers (1)
-
Name and explain two types of progressive wave motion
(Solved)
Name and explain two types of progressive wave motion
Date posted:
March 26, 2019
.
Answers (1)
-
Explain why water curves in a test as shown in the figure below.
(Solved)
Explain why water curves in a test as shown in the figure 1 below.

Date posted:
March 26, 2019
.
Answers (1)
-
State THREE differences between light waves and sound waves.
(Solved)
State THREE differences between light waves and sound waves.
Date posted:
March 26, 2019
.
Answers (1)
-
Explain the following terms and state their S.I units
(i) Wavelength
(ii) Amplitude
(iii) Periodic time
(iv) Frequency
(Solved)
Explain the following terms and state their S.I units
(i) Wavelength
(ii) Amplitude
(iii) Periodic time
(iv) Frequency
Date posted:
March 26, 2019
.
Answers (1)
-
Define the refractive index of a substance
(Solved)
Define the refractive index of a substance.
Date posted:
March 26, 2019
.
Answers (1)
-
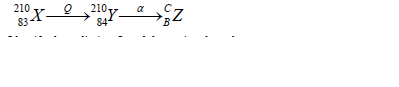
The following reaction is part of reactive series.
(Solved)
The following reaction is part of reactive series.

Identify the radiation Q and determine the values of B and C.
Date posted:
March 26, 2019
.
Answers (1)
-
A source generates 40 waves in a second. If the wavelength is 8.5 cm. Calculate the time taken to reach a wall 102 m from...
(Solved)
A source generates 40 waves in a second. If the wavelength is 8.5 cm. Calculate the time taken to reach a wall 102 m from the source.
Date posted:
March 26, 2019
.
Answers (1)
-
State one effect that would be observed when water waves pass from deep to shallow water.
(Solved)
State one effect that would be observed when water waves pass from deep to shallow water.
Date posted:
March 26, 2019
.
Answers (1)
-
Figure below shows the displacement – time graph for a certain wave
(Solved)
Figure below shows the displacement – time graph for a certain wave

Determine the frequency of the wave?
Date posted:
March 26, 2019
.
Answers (1)
-
An optical pin 20mm high is placed horizontally on the principal axis of a convex mirror of focal length 6cm as shown in the figure...
(Solved)
An optical pin 20mm high is placed horizontally on the principal axis of a convex mirror of focal length 6cm as shown in the figure below.

X is south pole and Y is north pole. Indicate the terminal of A and B on the diagram.
Date posted:
March 26, 2019
.
Answers (1)
-
Distinguish between ductile end and brittle material
(Solved)
Distinguish between ductile end and brittle material
Date posted:
March 26, 2019
.
Answers (1)
-
Two identical springs of spring constant 3N/cm are used to support a load of 30N as shown. Determine the extension of each spring.
(Solved)
Two identical springs of spring constant 3N/cm are used to support a load of 30N as shown. Determine the extension of each spring.

Date posted:
March 26, 2019
.
Answers (1)