-
The Probabilities that it will either rain or not in 30days from now are 0.5 and 0.6 respectively. Find the probability that in 30 days...
(Solved)
The Probabilities that it will either rain or not in 30days from now are 0.5 and 0.6 respectively. Find the probability that in 30 days time.
a) it will either rain and not.
b) Neither will not take place.
c) One Event will take place.
Date posted:
March 29, 2019
.
Answers (1)
-
Two towns T and S are 300km apart. Two buses A and B started from T at the same time travelling towards S. Bus B...
(Solved)
Two towns T and S are 300km apart. Two buses A and B started from T at the same time travelling towards S. Bus B travelled at an average speed of 10km/hr greater than that of A and reached S 1 ¼ hrs earlier.
(a) Find the average speed of A.
(b) How far was A from T when B reached S.
Date posted:
March 29, 2019
.
Answers (1)
-
The marks obtained by Form 4 students in Examination were as follows:
Using 74.5 as the Assumed mean, calculate:
(i) The mean mark
(ii) The standard deviation
(Solved)
The marks obtained by Form 4 students in Examination were as follows:

Using 74.5 as the Assumed mean, calculate:
(i) The mean mark
(ii) The standard deviation
Date posted:
March 29, 2019
.
Answers (1)
-
The depth of the water in a rectangular swimming pool increases uniformly from 1M at the shallow
end to 3.5m at the deep end. The pool...
(Solved)
The depth of the water in a rectangular swimming pool increases uniformly from 1M at the shallow
end to 3.5m at the deep end. The pool is 25m long and 12m wide. Calculate the volume of the pool
in cubic meters.
The pool is emptied by a cylindrical pipe of internal radius 9cm. The water flows through the pipe at speed of 3 metres per second. Calculate the number of litres emptied from the pool in two minutes to the nearest 10 litres. (Take π = 3.142)
Date posted:
March 29, 2019
.
Answers (1)
-
V A B C D is a right pyramid with a square base A B C D of side 5 cm. Each of its four...
(Solved)
V A B C D is a right pyramid with a square base A B C D of side 5 cm. Each of its four triangular
faces is inclined at 750 to the base. Calculate
a. The perpendicular height of the pyramid
b. The length of the slant edge VA
c. The angle between edge VA and base A B C D
d. The area of the face VAB
Date posted:
March 29, 2019
.
Answers (1)
-
The table below gives the performance of students in a test in percentage score.
Using an assumed mean of 44.5, calculate
a. The mean
b. The standard deviation
c....
(Solved)
The table below gives the performance of students in a test in percentage score.

Using an assumed mean of 44.5, calculate
a. The mean
b. The standard deviation
c. Find the median mark
Date posted:
March 29, 2019
.
Answers (1)
-
A racing cyclist completes the uphill section of a mountain course of 75 km at an average speed of v km/hr. He then returns downhill...
(Solved)
A racing cyclist completes the uphill section of a mountain course of 75 km at an average speed of v km/hr. He then returns downhill along the same route at an average speed of (v + 20) km/hr. Given that the difference between the times is one hour, form and solve an equation in v.
Hence
a. Find the times taken to complete the uphill and downhill sections of the course.
b. Calculate the cyclists average speed over the 150km.
Date posted:
March 29, 2019
.
Answers (1)
-
A joint harambee was held for two schools that share a sponsor. School A needed Shs.15 million while
School B needed 24 million to complete their...
(Solved)
A joint harambee was held for two schools that share a sponsor. School A needed Shs.15 million while
School B needed 24 million to complete their projects. The sponsor raised Shs.16.9 million while other
guest raised Shs.13.5 million.
(a) If it was decided that the sponsor's money be shared according to the needs of the school
with the rest equally, how much does each school get (5 mks)
(b) If the sponsor's money was shared according to the schools needs while the rest was in the ratio of students, how much does each school get if school A has 780 students and school B 220
students
Date posted:
March 29, 2019
.
Answers (1)
-
A cylindrical tank connected to a cylindrical pipe of diameter 3.5cm has water flowing at 150
cm per second. If the water flows for 10 hours...
(Solved)
A cylindrical tank connected to a cylindrical pipe of diameter 3.5cm has water flowing at 150
cm per second. If the water flows for 10 hours a day
(a) Calculate the volume in M3 added in 2 days
(b) If the tank has a height of 8 m and it takes 15 days to fill the tank, calculate the base radius
of the tank
Date posted:
March 29, 2019
.
Answers (1)
-
A businessman bought pens at Shs.440. The following day he bought 3 pens at Shs.54. This
purchase reduced his average cost per pen by Sh.1.50. Calculate...
(Solved)
A businessman bought pens at Shs.440. The following day he bought 3 pens at Shs.54. This
purchase reduced his average cost per pen by Sh.1.50. Calculate the number of pens bought earlier and the difference in cost of the total purchase at the two prices
Date posted:
March 29, 2019
.
Answers (1)
-
The given Region below (unshaded R) is defined by a set of inequalities. Determine the inequalities
(Solved)
The given Region below (unshaded R) is defined by a set of inequalities. Determine the inequalities

Date posted:
March 29, 2019
.
Answers (1)
-
Maina, Kamau and Omondi share Shs.180 such that for every one shilling Maina gets, Kamau gets 50
Cts and for every two shillings Kamau gets, Omondi...
(Solved)
Maina, Kamau and Omondi share Shs.180 such that for every one shilling Maina gets, Kamau gets 50
Cts and for every two shillings Kamau gets, Omondi gets three shillings. By how much does Maina's
share exceed Omondi's
Date posted:
March 28, 2019
.
Answers (1)
-
Six men take 14 days working 8 hours a day to pack 2240 parcels. How many more men working
5 hours a day will be required...
(Solved)
Six men take 14 days working 8 hours a day to pack 2240 parcels. How many more men working
5 hours a day will be required to pack 2500 parcels in 2 days
Date posted:
March 28, 2019
.
Answers (1)
-
A 2 digit number is such that the tens digit exceeds the unit by two . If the digits are reversed, the number formed is smaller...
(Solved)
A 2 digit number is such that the tens digit exceeds the unit by two . If the digits are reversed, the number formed is smaller than the original by 18. Find the original number.
Date posted:
March 27, 2019
.
Answers (1)
-
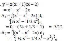
Estimate by MID ORDINATE rule the area bounded by the curve y = x2 + 2, the x axis and the lines x = O...
(Solved)
Estimate by MID ORDINATE rule the area bounded by the curve y = x2 + 2, the x axis and the lines x = O and x = 5 taking intervals of 1 unit in the x.
Date posted:
March 27, 2019
.
Answers (1)
-
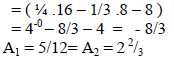
Given that tan x = 5/12, find the value of
(Solved)
Given that tan x = 5/12, find the value of 
Date posted:
March 27, 2019
.
Answers (1)
-
The diagonals of triangle ABCD intersect at M. AM = BM and CM = DM. Prove that triangles ABM and CDM are Similar.
(Solved)
The diagonals of triangle ABCD intersect at M. AM = BM and CM = DM. Prove that triangles ABM and CDM are Similar.
Date posted:
March 27, 2019
.
Answers (1)
-
The school globe has radius of 28cm. An insect crawls along a latitude towards the east from A(50o, 155oE) to a point B 8cm away....
(Solved)
The school globe has radius of 28cm. An insect crawls along a latitude towards the east from A(50o, 155oE) to a point B 8cm away. Determine the position of B to the nearest degree.
Date posted:
March 27, 2019
.
Answers (1)
-
A 0.21 m pendulum bob swings in such a way that it is 4cm higher at the top of the swing than at the bottom....
(Solved)
A 0.21 m pendulum bob swings in such a way that it is 4cm higher at the top of the swing than at the bottom. Find the length of the arc it forms.
Date posted:
March 27, 2019
.
Answers (1)
-
Evaluate without using mathematical tables
(Solved)
Evaluate without using mathematical tables 
Date posted:
March 27, 2019
.
Answers (1)