-
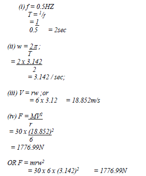
Give a reason why bodies in circular motion undergo acceleration even when their speed is constant
(Solved)
Give a reason why bodies in circular motion undergo acceleration even when their speed is constant
Date posted:
April 2, 2019
.
Answers (1)
-
A ship of mass 1300 tonnes floats on sea water:
(Solved)
A ship of mass 1300 tonnes floats on sea water:
(i) What volume of sea water is displaced (Density of sea water is 1025kg/m3)
(ii) Suppose it sails from sea water to fresh water, what cargo must be removed so that the same volume of water is displaced? (Density of fresh water = 1000kg/m3
Date posted:
April 2, 2019
.
Answers (1)
-
A block of glass of mass 250g floats in mercury. What volume of glass lies under the surface
of Mercury? Density of mercury is 13.6 x...
(Solved)
A block of glass of mass 250g floats in mercury. What volume of glass lies under the surface
of Mercury? Density of mercury is 13.6 x 103 Kg/m3.
Date posted:
April 2, 2019
.
Answers (1)
-
A gas is put into a container of fixed volume at a constant volume at a pressure of 2.1 x 105.
Nm-2 and temperature 27°C. The...
(Solved)
A gas is put into a container of fixed volume at a constant volume at a pressure of 2.1 x 105.
Nm-2 and temperature 27°C. The gas is then heated to a temperature of 327°C. Determine
the new pressure
Date posted:
April 2, 2019
.
Answers (1)
-
The volume of a bubble at the base of a container of water is 3cm3. The depth of water is 30cm. The bubble rises up...
(Solved)
The volume of a bubble at the base of a container of water is 3cm3. The depth of water is 30cm. The bubble rises up the column until the surface ;
(i) Explain what happens to the bubble as it rises up the water column
(ii) Determine the volume of the bubble at a point 5cm below the water surface
Date posted:
April 2, 2019
.
Answers (1)
-
A column of air 5cm is trapped by mercury thread of 10cm as shown in the figure below.If the tube is laid horizontally as shown...
(Solved)
A column of air 5cm is trapped by mercury thread of 10cm as shown in the figure below.If the tube is laid horizontally as shown in (b), calculate the new length of trapped air (atmospheric pressure =75.0cmHg and density of mercury = 13600kgm-3)

Date posted:
April 2, 2019
.
Answers (1)
-
Explain why the length of the metre stick is only 60cm when observed by an observer travelling at a rocket at very high relativistic speeds.
(Solved)
Explain why the length of the metre stick is only 60 cm when observed by an observer travelling at a rocket at very high relativistic speeds.
Date posted:
March 29, 2019
.
Answers (1)
-
.... Three resistors of resistance 2.0 ohms, 4.0 ohms and 6.0 ohms are connected together in a circuit.
(Solved)
Three resistors of resistance 2.0 Ω, 4.0 Ω and 6.0 Ω are connected together in a circuit.
Draw a circuit diagram to show the arrangement of the resistor which Gives:
(i) Effective resistance of 3.0 Ω
(ii) Minimum resistance
Date posted:
March 27, 2019
.
Answers (1)
-
Three resistors of resistance 2.0 O, 4.0 O and 6.0 O are connected together in a circuit.
(Solved)
Three resistors of resistance 2.0 Ω, 4.0 Ω and 6.0 Ω are connected together in a circuit.
Draw a circuit diagram to show the arrangement of the resistor which Gives
(i) Effective resistance of 3.0 Ω
(ii) Minimum resistance
Date posted:
March 27, 2019
.
Answers (1)
-
A narrow beam of electrons in a cathode ray oscilloscope (CRO) strike the screen producing a spot. State what is observed on the screen if...
(Solved)
A narrow beam of electrons in a cathode ray oscilloscope (CRO) strike the screen producing a spot. State what is observed on the screen if a low frequency a.c source is connected across the y-input of the CRO
Date posted:
March 27, 2019
.
Answers (1)
-
Figure below shows wavefronts approaching the boundary between two media.
(Solved)
Figure below shows wavefronts approaching the boundary between two media.

The speed of the waves in medium (2) is higher than that in medium (1). On the same diagram complete the figure to show the wavefronts after crossing the boundary.
Date posted:
March 27, 2019
.
Answers (1)
-
Figure below shows a hack-saw blade clamped horizontally on a bench and the free end is made to vibrate about the rest position.
(Solved)
Figure below shows a hack-saw blade clamped horizontally on a bench and the free end is made to vibrate about the rest position.

Determine the frequency of vibration of the blade.
Date posted:
March 27, 2019
.
Answers (1)
-
The diagram in figure below shows an object O placed in front of a converging lens. F and F are the principal focal for the...
(Solved)
The diagram in figure below shows an object O placed in front of a converging lens. F and F are the principal focal for the lens.

The object is now moved along the principal axis until a virtual image is produced.
On the same diagram: Sketch rays to show formation of the virtual image
Date posted:
March 27, 2019
.
Answers (1)
-
You are provided with the following; A cell and holder, a switch, a rheostat, an ammeter, a voltmeter and connecting wires. Draw a diagram for...
(Solved)
You are provided with the following; A cell and holder, a switch, a rheostat, an ammeter, a voltmeter and connecting wires. Draw a diagram for a circuit that could be used to investigate the variation of the potential difference across the cell with the current drawn from the cell.
Date posted:
March 27, 2019
.
Answers (1)
-
Figure below shows three point sources of light with an opaque object placed between them and the screen.
(Solved)
Figure below shows three point sources of light with an opaque object placed between them and the screen.

Explain the nature of the shadow formed along B and C.
Date posted:
March 27, 2019
.
Answers (1)
-
The strip placed n a pivot and kept in equilibrium by forces as shown in figure below
(Solved)
The strip placed n a pivot and kept in equilibrium by forces as shown in figure below

(i) Determine the value of F and R
(ii) X is the distance from the end of the plank to the point of application of force F. Force F is now applied at various points nearer to the pivot so that x increases. Equilibrium is maintained all the time. On the axes provided sketch the relation between force F and x.

(iii) Give a reason for the answer in (ii) above
Date posted:
March 27, 2019
.
Answers (1)
-
A machine of velocity ratio 45, overcomes a load of 4.5 x 103N when an effort of 135N is applied.
(Solved)
A machine of velocity ratio 45, overcomes a load of 4.5 x 103N when an effort of 135N is applied.
Determine:
(i) The mechanical advantage of the machine
(ii) Efficiency of the machine
(iii) The percentage of the work that goes to waste.
Date posted:
March 27, 2019
.
Answers (1)
-
Figure below shows part of a hydraulic press. The plunger is the position where effort is applied while the Ram piston is the position where...
(Solved)
Figure below shows part of a hydraulic press. The plunger is the position where effort is applied while the Ram piston is the position where load is applied. The plunger has cross-section area, a m2 while the Ram piston has cross section area, a m2.

When the plunger moves down a distance d the Ram piston moves up a distance D.
(i) State the property of liquid pressure on which the working of the hydraulic press works.
(ii) Derive an impression for the velocity ratio (V.R) in terms of A and a.
Date posted:
March 27, 2019
.
Answers (1)
-
A sealed gas cylinder contains 300cm3 of certain gas at a temperature of 250C, and at a pressure of 9.5x 104pa. the gas in the...
(Solved)
A sealed gas cylinder contains 300cm3 of certain gas at a temperature of 250C, and at a pressure of 9.5x 104pa. the gas in the cylinder was then cooled to 100C. Determine the new pressure of the gas in the cylinder.
Date posted:
March 27, 2019
.
Answers (1)
-
A block of metal of mass 150g at 1000C is dropped into a lagged calorimeter of heat capacity 40JK-1 containing 100g of water at 250C....
(Solved)
A block of metal of mass 150g at 1000C is dropped into a lagged calorimeter of heat capacity 40JK-1 containing 100g of water at 250C. The temperature of the resulting mixture is 340C. (Specific heat capacity of water=4200JK-1).
Determine:
(i) Heat gained by calorimeter;
(ii) Heat gained by water;
(iii) Heat lost by the metal block;
(iv) Specific heat capacity of the metal block
Date posted:
March 27, 2019
.
Answers (1)