-
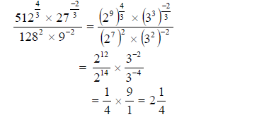
Evaluate:
(Solved)
Evaluate:
Date posted:
April 25, 2019
.
Answers (1)
-
(a) Write down the first three terms of the sequence whose nth term is 5n – 2.
(Solved)
(a) Write down the first three terms of the sequence whose nth term is 5n – 2.
(b) The 3rd term of a geometric sequence is 18 and the 6th term is 486. Find the 1st term and the common ratio.
(c) The first and the last term of an AP with 34 terms are 8 and -190 respectively.Find the sum of the first 34 terms.
(d) The 2nd, 4th and 7th term of an AP are the first 3 consecutive terms of a GP. Find the common ratio if the term is 2.
Date posted:
April 25, 2019
.
Answers (1)
-
The diagram below (not drawn to scale) shows the cross-section of a regular hexagonal solid metal prism length
20cm.
(Solved)
The diagram below (not drawn to scale) shows the cross-section of a regular hexagonal solid metal prism length
20cm.

Calculate:
(a) the area of the shaded region.
(b) the volume of the material used to make the metal in cm³.
(c) If the density of the metal prism is 3.5g/cm³. Find its mass in kg.
Date posted:
April 25, 2019
.
Answers (1)
-
Construct triangle PQR such that PQ = 7cm, QR = 6cm and RP = 5cm.
(Solved)
Construct triangle PQR such that PQ = 7cm, QR = 6cm and RP = 5cm.
(a) Construct the locus of point X which is equidistant from Q and R.
(b) Construct the locus of M which is equidistant from PR and QR.
Mark with letter M the point where this locus meets PQ. Measure QM.
(c) Construct the locus of Y such that PY = 4cm.
(d) Shade the region in which T lies given that 
Date posted:
April 25, 2019
.
Answers (1)
-
In an agricultural research station, the lengths of a sample of leaves were measured and recorded as shown in the
frequency distribution table below.
(Solved)
In an agricultural research station, the lengths of a sample of leaves were measured and recorded as shown in the
frequency distribution table below.

(a) State the modal class.
(b) Calculate the median (4dp).
(c) Using an assumed mean of 5.2, find:
(i) Mean (4dp).
(ii) Standard deviation (4dp).
Date posted:
April 25, 2019
.
Answers (1)
-
(a) Complete the table below for the equation
(Solved)
(a) Complete the table below for the equation 

Date posted:
April 25, 2019
.
Answers (1)
-
A boat P leaves part A (450N, 500W) and sails at an average speed of 10 knots. It sails due east along a parallel of...
(Solved)
A boat P leaves part A (450N, 500W) and sails at an average speed of 10 knots. It sails due east along a parallel of latitude to B (450N, 420W) and then sails due north to C (480N, 420W). Another boat Q leaves D (550N, 100W) at the same time as P leaves A. It sails due west and then due south to meet boat P at C.
(a) How long does it take boat P to reach point C?
(b) If boat Q sails at the same speed as boat P, how long does the former take to reach point C.
(c) At what speed would boat Q have to sail to reach point C at the same time as boat P.
Date posted:
April 25, 2019
.
Answers (1)
-
a) The numerator of the fraction p/q is increased in the ratio 3:2 while the denominator is decreased in the ratio 2: 3.If the...
(Solved)
a) The numerator of the fraction p/q is increased in the ratio 3:2 while the denominator is decreased in the ratio 2: 3.If the resulting fraction is 27/28, find.
(i) the fraction p/q in its simplest form.
(ii) the percentage change in the fraction.
(b) A piece of work can be done by 30 men in 12 days. They work for 4 days after which 6 of the men leave. How long will
it take the remaining men to complete the job if they work at the same rate?.
(c) Given that the cost of maize is Sh.30 per kg and that of beans is Sh.50 per kg, find the cost of 1kg of a mixture of maize
and beans if they are in the ratio of 3: 2 respectively.
Date posted:
April 25, 2019
.
Answers (1)
-
A matatu left town K at 7.00am and travelled towards town M at an average speed of 60km/hr. A car left town M at 9.00am...
(Solved)
A matatu left town K at 7.00am and travelled towards town M at an average speed of 60km/hr. A car left town M at 9.00am and travelled towards K at an average speed of 80km/hr. The distance between the two towns is 324km.Find.
(a) the time each vehicle arrived at their destination.
(i) Matatu.
(ii) Car.
(b) (i) The distance the matatu covered before the car started to move from town M to town K.
(ii) The time the two vehicles met on the way.
(c) How far the car was from town K when they met?
Date posted:
April 25, 2019
.
Answers (1)
-
From the roof of a house, a boy can see an avocado tree which is 20m away from the house. He measures the angle of...
(Solved)
From the roof of a house, a boy can see an avocado tree which is 20m away from the house. He measures the angle of elevation of the top of the tree as 210 and the angle of depression of the bottom of tree as 310. Find the height of the avocado tree.
Date posted:
April 25, 2019
.
Answers (1)
-
Find the value of x given that;
(Solved)

Date posted:
April 25, 2019
.
Answers (1)
-
A particle moves in a straight line from a fixed point. Its velocity Vms¯¹ after t seconds is given by V = 9t² - 4t...
(Solved)
A particle moves in a straight line from a fixed point. Its velocity Vmsˉ¹ after t seconds is given by V = 9t² - 4t + 1.
Calculate the distance travelled by the particle during the third second.
Date posted:
April 25, 2019
.
Answers (1)
-
In triangle ABC below, angle ABC = 900, angle ACB = 600, angle ADE = 900, AB = 4cm and BC = BE.
(Solved)
In triangle ABC below, angle ABC = 900, angle ACB = 600, angle ADE = 900, AB = 4cm and BC = BE.

Calculate:
(a) BC.
(b) CE.
(c) DC.
Date posted:
April 25, 2019
.
Answers (1)
-
A map has a scale of 1:25000 on this map; a square piece of land is represented by an area of 2cm². Calculate the
actual area,...
(Solved)
A map has a scale of 1:25000 on this map; a square piece of land is represented by an area of 2cm². Calculate the
actual area, in hectares of the plot.
Date posted:
April 25, 2019
.
Answers (1)
-
In the figure below lines ABC and DC are tangents to the circle at B and D respectively. Angle ACD = 400 and angle
ABE =...
(Solved)
In the figure below lines ABC and DC are tangents to the circle at B and D respectively. Angle ACD = 400 and angle
ABE = 600.

Find the size of angle:
(i) CBD.
(ii) CDE.
(iii) BED.
(iv) ABD.
Date posted:
April 25, 2019
.
Answers (1)
-
Make n the subject of the formulae in:
(Solved)
Make n the subject of the formulae in:

Date posted:
April 25, 2019
.
Answers (1)
-
Find the equation of a perpendicular bisector of line PQ, in the form y = mx + C. If the coordinates of P and Q...
(Solved)
Find the equation of a perpendicular bisector of line PQ, in the form y = mx + C. If the coordinates of P and Q are
(-2, 6) and (4, -2) respectively.
Date posted:
April 25, 2019
.
Answers (1)
-
The currency exchange rates of a given bank in Kenya are as follows.
(Solved)
The currency exchange rates of a given bank in Kenya are as follows.

A tourist arrived in Kenya with 5000US dollars which he converted to Kenya shillings upon arrival. He spent
Ksh.214,500 and converted the remaining to sterling pounds. How many pounds did he receive?
Date posted:
April 25, 2019
.
Answers (1)
-
Point B is 30m away from point A at a bearing of 1500. Point C is 25m from A at a bearing of 1200. Find...
(Solved)
Point B is 30m away from point A at a bearing of 1500. Point C is 25m from A at a bearing of 1200. Find how far C is from B.
Date posted:
April 25, 2019
.
Answers (1)
-
The figure below shows a circle centre O diameter 7cm. Angle POQ = 1440.
(Solved)
The figure below shows a circle centre O diameter 7cm. Angle POQ = 1440

Date posted:
April 25, 2019
.
Answers (1)