-
The curved surface area of a cylindrical container is 880cm2. Calculate to one decimal place the capacity of the container in litres given that the...
(Solved)
The curved surface area of a cylindrical container is 880cm2. Calculate to one decimal place the capacity of the container in litres given that the height is 17.5cm. (Take π = 22/7).
Date posted:
April 26, 2019
.
Answers (1)
-
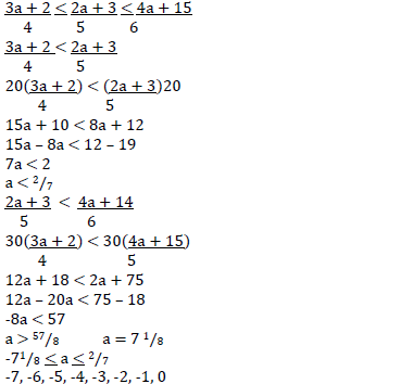
Solve the simultaneous equations:
(Solved)
Solve the simultaneous equations:

Date posted:
April 26, 2019
.
Answers (1)
-
Find the angle the line 3y = 2x + 6 makes with the x-axis.
(Solved)
Find the angle the line 3y = 2x + 6 makes with the x-axis.
Date posted:
April 26, 2019
.
Answers (1)
-
Simplify:
(Solved)
Simplify:

Date posted:
April 26, 2019
.
Answers (1)
-
Solve for x in the equation:
(Solved)
Solve for x in the equation:

Date posted:
April 26, 2019
.
Answers (1)
-
A man was born in 1956. His father was born in 1928 and the mother three years later. If the man’s daughter was
born in 1992...
(Solved)
A man was born in 1956. His father was born in 1928 and the mother three years later. If the man’s daughter was
born in 1992 and the son 5 years earlier, find the difference between the age of the man’s mother and that of his son.
Date posted:
April 26, 2019
.
Answers (1)
-
Evaluate the expression given below
(Solved)
Evaluate the expression given below

Date posted:
April 26, 2019
.
Answers (1)
-
The marked price of a car in a dealer’s shop was Ksh. 450,000/=. Nasieku bought the car at 7% discount. The dealer
still made a profit...
(Solved)
The marked price of a car in a dealer’s shop was Ksh. 450,000/=. Nasieku bought the car at 7% discount. The dealer
still made a profit of 13%. Calculate the amount of money the dealer had paid for the car.
Date posted:
April 26, 2019
.
Answers (1)
-
The diagram below, not drawn to scale shows part of the curve y = x² + 5 and the line y = 8.2x. The line...
(Solved)
The diagram below, not drawn to scale shows part of the curve y = x² + 5 and the line y = 8.2x. The line intersects the
curve at points C and D. Lines AC and BD are parallel to the y-axis.

(a) Determine the coordinates of C and D.
(b) Use integration to calculate the area bounded by the curve and the x-axis between the points C and D.
(c) Calculate the area enclosed by the lines CD, CA, BD and the x-axis.
(d) Hence determine the area of the shaded region.
Date posted:
April 26, 2019
.
Answers (1)
-
In the figure below O is the centre of the circle. Angle SPQ = 530 and angle PQO = 300.
(Solved)
In the figure below O is the centre of the circle. Angle SPQ = 530 and angle PQO = 300.

(a) Giving reasons find the size of angles:
(i) SOQ.
(ii) PSO.
(iii) SRT.
(b) If the radius of the circle is 14cm, find the area of the quadrilateral OQPS.
Date posted:
April 26, 2019
.
Answers (1)
-
The figure above shows the structure of a building under construction.
(Solved)

The figure above shows the structure of a building under construction. HA = IB = JC = ED = 12m and BC = AD = IJ =
HE 16m; and AB = DC = HI = EJ = 10m and HG = IG = FJ = FE = 7m and GF = 9m.
Calculate:
(a) the angle face GHI makes with base ABCD.
(b) vertical height of ridge GF above base ABCD.
(c) angle face GFJI makes with ABCD.
(d) M is midpoint of AB. What is the projection of MF to the base ABCD?
Date posted:
April 25, 2019
.
Answers (1)
-
(a) P, Q and R are three quantities such that P varies directly as the square of Q and inversely as the square root of...
(Solved)
(a) P, Q and R are three quantities such that P varies directly as the square of Q and inversely as the square root of R.
(i) Given that P = 12 when Q = 24 and R = 36, find P when Q = 27 and R = 121.
(ii) If Q increases by 10% and R decreases by 25%, find the percentage increase in P.
(b) If Q is inversely proportional to the square root of P and P = 4 when Q = 3.
Calculate the value of P when Q = 8.
Date posted:
April 25, 2019
.
Answers (1)
-
complete the table below for the functions;
(Solved)

Date posted:
April 25, 2019
.
Answers (1)
-
The table below shows the height of 50 athletes in a college.
(Solved)
The table below shows the height of 50 athletes in a college.

Calculate the median height of the athletes.
Date posted:
April 25, 2019
.
Answers (1)
-
In a race of 100km, John beats James by 10km and beats David by 13km. By how much will James beat David in a race
of...
(Solved)
In a race of 100km, John beats James by 10km and beats David by 13km. By how much will James beat David in a race
of 120km assuming all run at constant speeds throughout?
Date posted:
April 25, 2019
.
Answers (1)
-
The G.C.D of three numbers is 30 and their L.C.M is 900. If two of the numbers are 150 and 60, what are the other
three...
(Solved)
The G.C.D of three numbers is 30 and their L.C.M is 900. If two of the numbers are 150 and 60, what are the other
three possible third numbers?
Date posted:
April 25, 2019
.
Answers (1)
-
XYZ is a triangle. Draw the locus of a point M such that angle XYZ is equal to angle XMZ and Y must lie on...
(Solved)
XYZ is a triangle. Draw the locus of a point M such that angle XYZ is equal to angle XMZ and Y must lie on the locus of
M.
Date posted:
April 25, 2019
.
Answers (1)
-
Three angles of a polygon are 1250, 1400 and 1600. The remaining angles are 1450 each. Calculate the sum of the interior angles of the...
(Solved)
Three angles of a polygon are 1250, 1400 and 1600. The remaining angles are 1450 each. Calculate the sum of the interior angles of the polygon.
Date posted:
April 25, 2019
.
Answers (1)
-
Express in surd form and simplify by rationalizing the denominator.
(Solved)
Express in surd form and simplify by rationalizing the denominator.

Date posted:
April 25, 2019
.
Answers (1)
-
Expand (1 + 2X)8 in ascending powers of X up to and including the term in X³. Hence evaluate (1.02)8.
(Solved)
Expand (1 + 2X)8 in ascending powers of X up to and including the term in X³. Hence evaluate (1.02)8.
Date posted:
April 25, 2019
.
Answers (1)