-
The ratio of the lengths of the corresponding sides of two similar rectangular petrol tanks is 3:5. The volume of the
smaller tank is 8.1m3. Calculate...
(Solved)
The ratio of the lengths of the corresponding sides of two similar rectangular petrol tanks is 3:5. The volume of the
smaller tank is 8.1m3. Calculate the volume of the larger tank.
Date posted:
April 26, 2019
.
Answers (1)
-
A regular n-sided polygon has its interior angle equal to 4 times its exterior. Find n.
(Solved)
A regular n-sided polygon has its interior angle equal to 4 times its exterior. Find n.
Date posted:
April 26, 2019
.
Answers (1)
-
During a certain month, the exchange rates in a bank were as follows;
(Solved)
During a certain month, the exchange rates in a bank were as follows;

A tourist left Kenya to the United States with KSh. 1,000,000.At the airport he exchanged all the money to dollars and
spent 190 dollars on air ticket. While in US he spent 4500 dollars for upkeep and proceeded to Europe. While in Europe he spent a total of 2000 Euros. How many Euros did he remain with?
Date posted:
April 26, 2019
.
Answers (1)
-
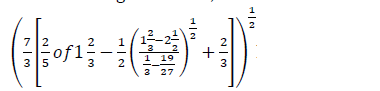
Without using calculator, evaluate.
(Solved)
Without using calculator, evaluate.

leaving the answer as a mixed fraction.
Date posted:
April 26, 2019
.
Answers (1)
-
Find the integral values of x which satisfy the inequality.
(Solved)
Find the integral values of x which satisfy the inequality.
3(1 + x)< 5x – 11
Date posted:
April 26, 2019
.
Answers (1)
-
A two digit number is such that the one’s digit is four more than the tens digit, and the sum of the digits is 14....
(Solved)
A two digit number is such that the one’s digit is four more than the tens digit, and the sum of the digits is 14. Find the
number.
Date posted:
April 26, 2019
.
Answers (1)
-
All prime numbers less than ten are arranged in ascending order to form a number.
(Solved)
All prime numbers less than ten are arranged in ascending order to form a number.
(a) Write down the number formed.
(b) Express the number in (a) above in expanded form.
Date posted:
April 26, 2019
.
Answers (1)
-
Simplify
(Solved)
Simplify

Date posted:
April 26, 2019
.
Answers (1)
-
Given that;
(Solved)
Given that

Use mathematical tablets to find the value of x in standard form correct to 3 significant figures.
Date posted:
April 26, 2019
.
Answers (1)
-
The law E = KXn gives an expression for the energy E joules stored in a spring for the extension xcm. The table below
shows the...
(Solved)
The law E = KXn gives an expression for the energy E joules stored in a spring for the extension xcm. The table below
shows the value of E and the corresponding value of X.

Determine graphically the values of k and n. Write the equation connecting E and X.
Date posted:
April 26, 2019
.
Answers (1)
-
The first term of an Arithmetic Progression (AP) is 200. The sum of the first 10 terms of AP is 24500.
(Solved)
The first term of an Arithmetic Progression (AP) is 200. The sum of the first 10 terms of AP is 24500.
(a) (i) Find the common difference.
(ii) Given that the sum of the first n terms of the AP is 80100, find n.
(b) The 3rd, 5th and 8th terms of another AP, form the first three terms of a Geometric Progression (GP). If the common
difference of AP is 5, find:-
(i) The first term of the GP.
(ii) The sum of the first 12 terms of the GP, to four significant figures.
Date posted:
April 26, 2019
.
Answers (1)
-
In the figure below, QT = a and QP = b.
(Solved)
In the figure below, QT = a and QP = b.

(a) Express the vector PT in terms of a and b.
(b) If PX = kPT, express QX in terms of a, b and k, where k is a scalar.
(c) If QR = 3a and RS = 2b, write down an expression for QS in terms of a and b.
(d) If QX = tQS, use your result in (b) and (c) to find the value of k and t.
(e) Find the ratio PX : XT.
Date posted:
April 26, 2019
.
Answers (1)
-
The figure below shows a circle centre O in which QOT is a diameter.
(Solved)
The figure below shows a circle centre O in which QOT is a diameter. RSU are straight lines.

Calculate the following angles giving a reason in each case.
(a) (b) (c) (d) Obtuse (e)
Date posted:
April 26, 2019
.
Answers (1)
-
Mr. Chesingei earned an annual basic salary of Kenya pounds 12360 when the rates of taxation were as in the table
below.
(Solved)
Mr. Chesingei earned an annual basic salary of Kenya pounds 12360 when the rates of taxation were as in the table
below.

Apart from the basic salary, he is entitled to a house allowance of Kshs. 12,000 and medical allowance of Kshs. 6,000
per month.
(a) Calculate Chesingei’s monthly taxable income in Kenya pounds.
(b) Calculate Chesinge’s monthly net income if he is given a tax relief of Ksh. 980 per month. Give your answer in Kenyan shillings.
Date posted:
April 26, 2019
.
Answers (1)
-
Find the coordinates of A.
(Solved)
Find the coordinates of A.

Date posted:
April 26, 2019
.
Answers (1)
-
In the figure below, ABCDE is a cross-section of a solid. The solid has a uniform cross-section. Given that BG is a base
edge of the...
(Solved)
In the figure below, ABCDE is a cross-section of a solid. The solid has a uniform cross-section. Given that BG is a base
edge of the solid, complete the sketch, showing the hidden edges with broken lines.

Date posted:
April 26, 2019
.
Answers (1)
-
In what ratio must “Murang’a” coffee costing sh. 25g per 100g be mixed with “Kisii” coffee costing sh. 17.50 per 100g,
so that by selling the...
(Solved)
In what ratio must “Murang’a” coffee costing sh. 25g per 100g be mixed with “Kisii” coffee costing sh. 17.50 per 100g,
so that by selling the mixture at sh. 25 per 100g, a profit of 25% is made?
Date posted:
April 26, 2019
.
Answers (1)
-
A bird flies from its nest to some food in three stages. The routes are described by the following vectors.
(Solved)
A bird flies from its nest to some food in three stages. The routes are described by the following vectors.

Find the distance between the bird’s nest and where the food is.
Date posted:
April 26, 2019
.
Answers (1)
-
Six men take 28 days working for 10 hours a day to pack 4480 parcels. How many more men working 8 hours a day
will be...
(Solved)
Six men take 28 days working for 10 hours a day to pack 4480 parcels. How many more men working 8 hours a day
will be required to pack 2500 parcels in 4 days?
Date posted:
April 26, 2019
.
Answers (1)
-
The angles of a triangle are in the ratio 8 : 7 : 3. If the longest side of the triangle is 5.4cm. Calculate the...
(Solved)
The angles of a triangle are in the ratio 8 : 7 : 3. If the longest side of the triangle is 5.4cm. Calculate the length of the
shortest side.
Date posted:
April 26, 2019
.
Answers (1)