-
A salesman is paid a commission of 2% on goods worth over Ksh.100000. He is also paid a monthly salary of Ksh.12000. In a
certain month,...
(Solved)
A salesman is paid a commission of 2% on goods worth over Ksh.100000. He is also paid a monthly salary of Ksh.12000. In a
certain month, he sold 360 pairs of shoes at Ksh.500 each pair.
(a) Calculate the salesman’s earning that month.
(b) The following month, his monthly salary was increased by 10%. His total earnings that month were Ksh.17600. Calculate
(i) The total amount of money received from the sales of the shoes that month.
(ii) The number of pairs of shoes sold that month.
Date posted:
April 29, 2019
.
Answers (1)
-
Find the inequalities that define the region R shown in the figure below.
(Solved)
Find the inequalities that define the region R shown in the figure below.

Date posted:
April 26, 2019
.
Answers (1)
-
Two similar cylinders have diameter of 7cm and 21cm. If the larger cylinder has a volume of 6237cm³. Find the heights of the two
cylinders.
(Solved)
Two similar cylinders have diameter of 7cm and 21cm. If the larger cylinder has a volume of 6237cm³. Find the heights of the two
cylinders.
Date posted:
April 26, 2019
.
Answers (1)
-
Ruto is 2.5 times as old as his son. Five years ago, the ratio of their ages was 8:3. What will be their ages 6...
(Solved)
Ruto is 2.5 times as old as his son. Five years ago, the ratio of their ages was 8:3. What will be their ages 6 years from now?
Date posted:
April 26, 2019
.
Answers (1)
-
Thirty two men working at the rate of 9hrs a day can complete a piece of work in 7 days. How many more men working...
(Solved)
Thirty two men working at the rate of 9hrs a day can complete a piece of work in 7 days. How many more men working at the rate
of 8hrs a day would complete the same work in 6 days?
Date posted:
April 26, 2019
.
Answers (1)
-
A solid metal cuboid 1.5m long, 0.4m wide and 0.25m high is made of material of density 7.5g/cm³. Calculate its mass in kg.
(Solved)
A solid metal cuboid 1.5m long, 0.4m wide and 0.25m high is made of material of density 7.5g/cm³. Calculate its mass in kg.
Date posted:
April 26, 2019
.
Answers (1)
-
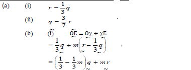
Simplify the expression given below
(Solved)
Simplify the expression given below

Date posted:
April 26, 2019
.
Answers (1)
-
The interior angle of a regular polygon is 6.5 times the exterior angle. How many sides has the polygon.
(Solved)
The interior angle of a regular polygon is 6.5 times the exterior angle. How many sides has the polygon.
Date posted:
April 26, 2019
.
Answers (1)
-
Find the perimeter of the figure below. Give your answer correct to 4s.f.
(Solved)
Find the perimeter of the figure below. Give your answer correct to 4s.f.

Date posted:
April 26, 2019
.
Answers (1)
-
Convert into a fraction.
(Solved)

Date posted:
April 26, 2019
.
Answers (1)
-
Use the tables of reciprocals and square roots to evaluate.
(Solved)
Use the tables of reciprocals and square roots to evaluate.

Date posted:
April 26, 2019
.
Answers (1)
-
Find the equation of a line passing through (2, 1) and perpendicular to the line which makes an angle of 45º with the X-axis.
(Solved)
Find the equation of a line passing through (2, 1) and perpendicular to the line which makes an angle of 45º with the X-axis.
Date posted:
April 26, 2019
.
Answers (1)
-
A Kenyan Bank buys and sells foreign currencies as shown below.
(Solved)
A Kenyan Bank buys and sells foreign currencies as shown below.

A Japanese travelling from France arrives in Kenya with 5000 Euros. He converts all the 5000 Euros to Kenya Shillings at the bank.
While in Kenya he spends a total of Ksh.289,850 and then converts the remaining Ksh. to Japanese Yen at the bank. Calculate the
amount in Japanese Yen that he receives.
Date posted:
April 26, 2019
.
Answers (1)
-
Evaluate the following:
(Solved)
Evaluate the following.

Date posted:
April 26, 2019
.
Answers (1)
-
Use logarithm to evaluate:
(Solved)
Use logarithm to evaluate:

Date posted:
April 26, 2019
.
Answers (1)
-
Solve for m in the equation given below:
(Solved)
Solve for m in the equation:

Date posted:
April 26, 2019
.
Answers (1)
-
The signals have been set to flash at interval of 15 minutes, 24 minutes if they all flash at 8.13am when will they flash together.
(Solved)
The signals have been set to flash at interval of 15 minutes, 24 minutes if they all flash at 8.13am when will they flash together.
Date posted:
April 26, 2019
.
Answers (1)
-
The equation of a curve is given by y = 11x – x2.
(Solved)
The equation of a curve is given by y = 11x – x2.
(a) Determine coordinates of the stationary point.
(b) By integration, determine the actual area bounded by the curve y = 11x – x2 and the line y = 2x
(c) Find the equation of the normal to the curve at x =2
Date posted:
April 26, 2019
.
Answers (1)
-
The thirteen term of an arithmetic progression is 27. Given that the seventh term equals to three times the second
term, find
(Solved)
The thirteen term of an arithmetic progression is 27. Given that the seventh term equals to three times the second
term, find
(a) The first term and the common difference of the progression.
(b) The sum of the first three even numbered terms of the progression.
(c) It’s given that (b-9/4), b and (b + 3.375) are the 2nd,3rd, and 4th terms of a geometric progression. Determine the value of b.
Date posted:
April 26, 2019
.
Answers (1)
-
The following table shows the distribution of marks obtained by 50 students of Matare Secondary School.
(Solved)
The following table shows the distribution of marks obtained by 50 students of Matare Secondary School.

(a) By using an assumed of 62, calculate:
(i) The mean
(b) The variance
(c) The standard deviation
Date posted:
April 26, 2019
.
Answers (1)