Exam papers, notes, holiday assignments and topical questions – all aligned to the Kenyan curriculum.
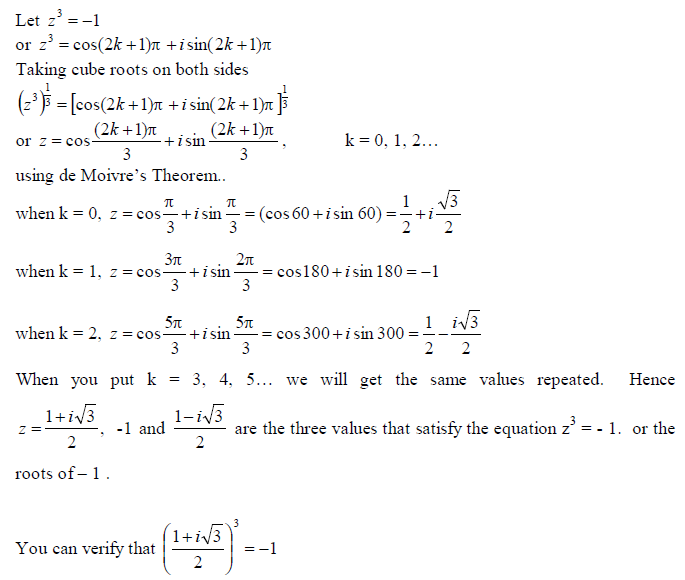
Solve the equation z3 = -13= -1 giving three values of the roots.
Answer Attachments
Next: Discuss the common sewing faults and their remedies.
Previous: List the main types of Stitches.
View more Complex Analysis 1 Questions and Answers | Return to Questions Index
Simplify the expression below;
Date posted: May 2, 2019 . Answers (1)
Letshow that
Simplify the expression given below;
Express z = 4 + 3i in polar form
Plot the complex numbersz1 = 4 + 3i, z2 = 5 – 2i,z3 =-4+3i and z4 = -4 – 3i