-
Use logarithms to evaluate.
(Solved)
Use logarithms to evaluate.

Date posted:
May 3, 2019
.
Answers (1)
-
The distance S metres from a fixed point, covered by a particle t seconds is given by the equation.
s = t3 - 6t2 + 9t...
(Solved)
The distance S metres from a fixed point, covered by a particle t seconds is given by the equation.
s = t3 - 6t2 + 9t + 5.
a) Calculate the gradient of the curve at t = 0.5 seconds.
b) Determine the value of s at the maximum turning point of the curve.
Date posted:
May 3, 2019
.
Answers (1)
-
A bus left town A at 11.45 a.m and travelled towards town B at average speed of 60km/h. A car left town B at 1.15p.m
on...
(Solved)
A bus left town A at 11.45 a.m and travelled towards town B at average speed of 60km/h. A car left town B at 1.15p.m
on the same day and travelled towards town A along the same road at an average speed of 90km/h. The distance
between the two towns is 540km. Determine
a) The time of day when the two vehicles met.
b) How far from A they met.
c) How far outside town B the bus was when the car reached town A.
Date posted:
May 3, 2019
.
Answers (1)
-
The table below shows Kenya’s tax rates in a certain year.
(Solved)
The table below shows Kenya’s tax rates in a certain year.

In that year Mr. Mwangi earned a basic salary of Kshs. 16000 per month. He is entitled to a house allowance of ksh.12000 per month and a medical allowance of ksh. 2000 per month.Calculate:
a) i) His taxable income per year in pounds.
ii) His monthly gross tax.
iii) The monthly net tax if he is given a relief of ksh. 1056 per month.
b) Other deductions per month are as follows
N.H.I.F sh. 320, cooperative loan sh. 5600,
WCPS sh 488, coop shares sh 2000
Find his monthly net pay.
Date posted:
May 3, 2019
.
Answers (1)
-
The diagram below represents a solid consisting of a hemispherical bottom and a conical frustrum at the top.
(Solved)
The diagram below represents a solid consisting of a hemispherical bottom and a conical frustrum at the top.

a) Determine the value of x hence the height of the cone.
b) Calculate;
i) The surface area of the solid.
ii) The volume of the solid.
Date posted:
May 3, 2019
.
Answers (1)
-
The figure below shows triangle OAB in which OA = a and OB = b. M and N are points on OB and AB respectively...
(Solved)
The figure below shows triangle OAB in which OA = a and OB = b. M and N are points on OB and AB respectively such
that OM = 1/3OB and AN = 2/5AB. Line AM and ON meet at P such that OP = 5/9 ON.

a) Express the following vectors in terms of a and b
i) AB
ii) ON
iii) AM
b) Express AP and PM in terms of a and b,hence show that the points A, P and M are collinear.
Date posted:
May 3, 2019
.
Answers (1)
-
Three hundred and sixty litres of a homogenous paint is made by mixing three paints A, B and C. The ratio by volume
of paints A...
(Solved)
Three hundred and sixty litres of a homogenous paint is made by mixing three paints A, B and C. The ratio by volume
of paints A to paint B is 3 : 2 and paint B to paint C is 1 : 2. Paint A costs sh. 180 per litre, paint B sh. 240 per litre and
paint C sh. 127.50 per litre. Determine:
a) The volume of each type of paint in the mixture.
b) The amount of money spent in making one litre of the mixture.
c) The percentage profit made by selling the mixture at sh. 221 per litre.
Date posted:
May 3, 2019
.
Answers (1)
-
The length and breadth of a rectangle are given as (6x - 1) and (x - 2) metres respectively. If the length and breadth
are each...
(Solved)
The length and breadth of a rectangle are given as (6x - 1) and (x - 2) metres respectively. If the length and breadth
are each increased by 4 metres, the new area is three times that of the original triangle.
a) Form an equation in x and solve it.
b) Find the dimension of the original rectangle.
c) Express the increase in area as a percentage of the original area.
Date posted:
May 3, 2019
.
Answers (1)
-
Evaluate the following
(Solved)
Evaluate the following

Date posted:
May 2, 2019
.
Answers (1)
-
Work out the following.
(Solved)
Work out the following.

Date posted:
May 2, 2019
.
Answers (1)
-
An American tourist arrives in Kenya with 1000 US$ and converted the whole amount into Kenyan shilling. He spend sh. 40000 and changed the balance...
(Solved)
An American tourist arrives in Kenya with 1000 US$ and converted the whole amount into Kenyan shilling. He spend sh. 40000 and changed the balance to Sterling pounds before leaving for United Kingdom. A Kenyan bank buys and sells foreign currencies as shown.

Calculate the amount he received to the nearest sterling pound.
Date posted:
May 2, 2019
.
Answers (1)
-
A train 20m long is moving at 52km/h. Another train 30m long is moving in the opposite direction at 48km/h. How long do the train...
(Solved)
A train 20m long is moving at 52km/h. Another train 30m long is moving in the opposite direction at 48km/h. How long do the train take to completely pass each other. Give your answer in seconds.
Date posted:
May 2, 2019
.
Answers (1)
-
The price of an article is marked as 12,000/= Mr. Omanga sold the article at a discount of 10% and still made a profit of...
(Solved)
The price of an article is marked as 12,000/= Mr. Omanga sold the article at a discount of 10% and still made a profit of 8%. Calculate the cost of the article.
Date posted:
May 2, 2019
.
Answers (1)
-
Solve the simultaneous inequality below and list the integral values that satisfy it.
(Solved)
Solve the simultaneous inequality below and list the integral values that satisfy it.

Date posted:
May 2, 2019
.
Answers (1)
-
The total age of a group of parents is 342 yrs. A new parent aged 48 yrs joins the group, their average age rises by...
(Solved)
The total age of a group of parents is 342 yrs. A new parent aged 48 yrs joins the group, their average age rises by 1.
Find the original number of parents given that they were more than 30.
Date posted:
May 2, 2019
.
Answers (1)
-
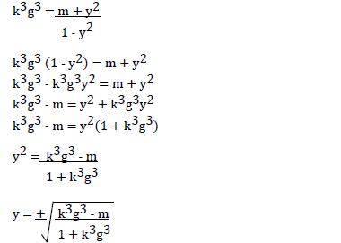
Use tables of square, cuberoots and reciprocal to find the value of x if
(Solved)
Use tables of square, cuberoots and reciprocal to find the value of x if

Date posted:
May 2, 2019
.
Answers (1)
-
Solve the simultaneous equations.
(Solved)
Solve the simultaneous equations.

Date posted:
May 2, 2019
.
Answers (1)
-
A number n is such that when divided by 3, 7, 11 or 13, the remainder is always one. Find the number n.
(Solved)
A number n is such that when divided by 3, 7, 11 or 13, the remainder is always one. Find the number n.
Date posted:
May 2, 2019
.
Answers (1)
-
The figure below shows triangle PQR in which PR = 12cm. T is a point on PR such that TR = 4cm. Line ST is...
(Solved)
The figure below shows triangle PQR in which PR = 12cm. T is a point on PR such that TR = 4cm. Line ST is parallel to
OR. If the area of PQR is 336cm2. Find the area of the quadrilateral QSTR.

Date posted:
May 2, 2019
.
Answers (1)
-
The diagram below represents a circular flower bed surrounded by a path of uniform width. Given that
R = 14m and r = 12.6m, calculate to...
(Solved)
The diagram below represents a circular flower bed surrounded by a path of uniform width. Given that
R = 14m and r = 12.6m, calculate to the nearest whole number the area of the path. (Take p = 22/7)

Date posted:
May 2, 2019
.
Answers (1)