-
A quantity y varies partly as x2 and partly as x. When y=6, x=1 and when y=30, x=3.Find y when x=3.
(Solved)
A quantity y varies partly as x2 and partly as x. When y=6, x=1 and when y=30, x=3.Find y when x=3.
Date posted:
May 7, 2019
.
Answers (1)
-
Point P(400S, 450E) and point Q (400S, 600W) are on the surface of the earth. Calculate the shortest distance along a circle of latitude between...
(Solved)
Point 𝑃(400𝑆, 450E) and point Q (400𝑆, 600𝑊) are on the surface of the earth. Calculate the shortest distance along a circle of latitude between the two points.
Date posted:
May 7, 2019
.
Answers (1)
-
The cost of the 2 brands of coffee A and B per kg are sh. 59.40 and sh. 72 respectively. The two brands are mixed...
(Solved)
The cost of the 2 brands of coffee A and B per kg are sh. 59.40 and sh. 72 respectively. The two brands are mixed in the
ratio x: y and sold at a profit of 20 % above the cost. If the selling price per kg of mixture is sh. 72. Find the value of x
and y.
Date posted:
May 7, 2019
.
Answers (1)
-
The 3rd term of a geometric sequence is 20 and the 6th term is -160. Calculate the 8th term.
(Solved)
The 3rd term of a geometric sequence is 20 and the 6th term is -160. Calculate the 8th term.
Date posted:
May 7, 2019
.
Answers (1)
-
Solve 4 - 4 Cos2 x = 4 sin x - 1 for....
(Solved)
Solve 4 - 4 Cos2 x = 4 sin ?? - 1 for 00 <_ x <_ 3600
Date posted:
May 7, 2019
.
Answers (1)
-
Simplify the following
(Solved)
Simplify the following

Date posted:
May 7, 2019
.
Answers (1)
-
A cold water tap can fill a bath in 10 minutes while a hot water tap can fill it in 8 minutes. The drainage pipe...
(Solved)
A cold water tap can fill a bath in 10 minutes while a hot water tap can fill it in 8 minutes. The drainage pipe can empty
the bath in 5 minutes. The cold water and hot water taps are opened for 4 minutes all the 3 taps are opened. Find how
long it will take to fill the bath.
Date posted:
May 7, 2019
.
Answers (1)
-
Object A of area 10 cm2 is mapped on to its image B of area 60 cm2 by transformation whose matrix is given below. Find the positive values...
(Solved)
Object A of area 10 cm2 is mapped on to its image B of area 60 cm2 by transformation whose matrix is given below.Find the positive values of x

Date posted:
May 7, 2019
.
Answers (1)
-
Find the binomial expansion of the following expression upto the term in ??3. Hence estimate the value of
(1.04)7 correct to 4d.p.
(Solved)
Find the binomial expansion of the following expression upto the term in 𝑥3. Hence estimate the value of
(1.04)7 correct to 4d.p.

Date posted:
May 7, 2019
.
Answers (1)
-
Draw the locus of the points that satisfy inequalities (y - 3)2 + (x - 2)2 <_ 9 and x + y >_ 6
(Solved)
Draw the locus of the points that satisfy inequalities (y - 3)2 + (x - 2)2 <_ 9 and x + y >_ 6
Date posted:
May 7, 2019
.
Answers (1)
-
Make y the subject of the formula.
(Solved)
Make y the subject of the formula.

Date posted:
May 7, 2019
.
Answers (1)
-
Find the value of X
(Solved)
Find the value of X
(5𝑥)5𝑥-1 = 10
Date posted:
May 7, 2019
.
Answers (1)
-
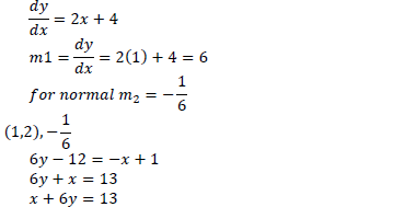
A straight line passes through the points (8, -2) and (4, -4)
(Solved)
A straight line passes through the points (8, -2) and (4, -4)
(a) Write its equation in the form ax + by + c = 0 where a, b and c are integers.
(b) If the line in (a) above cuts the x-axis at point, determine the coordinates of P.
(c) Another line which is perpendicular to the line in (a) above passes through point P and cuts the y-axis at the point
Q. Determine the coordinates of point Q.
(d) Find the length of QP
Date posted:
May 7, 2019
.
Answers (1)
-
The figure below shows a tumbler with diameters 6cm and 10cm and height 15cm.
(Solved)
The figure below shows a tumbler with diameters 6cm and 10cm and height 15cm.

(a) If it is filled with water, what area is in contact with water?
(b) Find the volume of the tumbler.
Date posted:
May 7, 2019
.
Answers (1)
-
The table below shows measurements in metres, made by a surveyor in his field book. Calculate the area of the field in
hectares.
(Solved)
The table below shows measurements in metres, made by a surveyor in his field book. Calculate the area of the field in
hectares.

Date posted:
May 7, 2019
.
Answers (1)
-
Given that y = -2x2 – 3x + 11
(Solved)
Given that y = -2x2 – 3x + 11
(a) Complete the table below.

(b) On the grid provided, draw the graph of -2x2 – 3x + 11 for -4≤x≤3
(c) Use the graph to solve
(i)-2x2 – 3x + 11 = 0
(ii)-2x2 – 5x + 10 = 0
Date posted:
May 7, 2019
.
Answers (1)
-
A bus left Kisumu at 9.30 a.m towards Nairobi at an average speed of 81km/h. A matatu left Nairobi at 10.10 a.m at
average speed of...
(Solved)
A bus left Kisumu at 9.30 a.m towards Nairobi at an average speed of 81km/h. A matatu left Nairobi at 10.10 a.m at
average speed of 72km/hr. The distance between Kisumu and Nairobi is 3600km.
(a) Determine:
(i) the time taken before the two vehicles meet
(ii) the distance between the two vehicles 40 minutes after meeting
(b) A car left Kisumu towards Nairobi at 9.50 a.m at an average speed of 90km/h.
Determine
(i) the time when the car caught up with the bus
(ii) the distance of Nairobi from place where the car caught up with the bus.
Date posted:
May 7, 2019
.
Answers (1)
-
(a) Using a ruler and a pair of compasses only, construct triangle ABC where line AB = 5.5cm, line BC = 4.8cm and
line AC =...
(Solved)
(a) Using a ruler and a pair of compasses only, construct triangle ABC where line AB = 5.5cm, line BC = 4.8cm and
line AC = 6.8cm, construct a circle through vertices A, B and C.
(b) Measure the radius of the circle.
(c) Measure the angle subtended at the centre of the circle by a chord AC.
Date posted:
May 7, 2019
.
Answers (1)
-
The table below shows the height measured to the nearest cm of 101 pawpaw trees.
(Solved)
The table below shows the height measured to the nearest cm of 101 pawpaw trees.

(a) State the modal class.
(b) Calculate to 2d.p
(i) the mean height
(ii) the difference between the median height and the mean height.
Date posted:
May 7, 2019
.
Answers (1)
-
The diagram below shows a crescent formed by two circles of radii 3cm and 5cm, centres A and B respectively.
(Solved)
The diagram below shows a crescent formed by two circles of radii 3cm and 5cm, centres A and B respectively.

Calculate the area of the shaded region if it subtends and angle of 600 at centre B.
Date posted:
May 7, 2019
.
Answers (1)