-
Working together two taps A and B can fill a tank in 6 hours. By itself tap A can fill the tank in 8 hrs.
(Solved)
Working together two taps A and B can fill a tank in 6 hours. By itself tap A can fill the tank in 8 hrs.
a) How long can tap B take to fill the tank by itself.
b) Tap A and B are opened at the same time and after running for 2 hours, an outlet tap which can drain the full tank
by itself in 12 hours is opened. How much longer will it take the tank to be filled.
Date posted:
May 8, 2019
.
Answers (1)
-
Use reciprocal and square root tables to evaluate to 4 significant figures, the expression.
(Solved)
Use reciprocal and square root tables to evaluate to 4 significant figures, the expression.

Date posted:
May 8, 2019
.
Answers (1)
-
Half of the interior angles of an irregular hexagon are in the ratio 2 : 3 : 4, while the other half are in the...
(Solved)
Half of the interior angles of an irregular hexagon are in the ratio 2 : 3 : 4, while the other half are in the ratio 4 : 3 : 5 .
List the interior angles of the hexagon.
Date posted:
May 8, 2019
.
Answers (1)
-
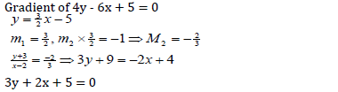
Solve the simultaneous equations:
(Solved)
Solve the simultaneous equations:

Date posted:
May 8, 2019
.
Answers (1)
-
A trader imported a camera for which she paid import duty at 40% of the purchase price. She later sold it to a
customer giving 8%...
(Solved)
A trader imported a camera for which she paid import duty at 40% of the purchase price. She later sold it to a
customer giving 8% discount. If the customer paid shs 18,032 for the camera, find the purchase price.
Date posted:
May 8, 2019
.
Answers (1)
-
Solve for b in the equation
(Solved)
Solve for b in the equation

Date posted:
May 8, 2019
.
Answers (1)
-
Without using calculators of mathematical tables, find the value of
(Solved)
Without using calculators of mathematical tables, find the value of

Date posted:
May 8, 2019
.
Answers (1)
-
When a certain number is divided by 30, 45 or 54, there is always a remainder of 21. Find the least number
(Solved)
When a certain number is divided by 30, 45 or 54, there is always a remainder of 21. Find the least number
Date posted:
May 8, 2019
.
Answers (1)
-
Evaluate the following expression
(Solved)
Evaluate the following expression.

Date posted:
May 8, 2019
.
Answers (1)
-
Two fair dice are tossed once. The event A and B are defined as follows:
A: the score on the two dices are the same
B: at...
(Solved)
Two fair dice are tossed once. The event A and B are defined as follows:
A: the score on the two dices are the same
B: at least one die shows a 4.
(a) Draw a probability space representing the tossing.
(b) Calculate:
(i) The probability of even A
(ii) The probability of even B
(iii) The probability of even A and B
(c) If the two dice are tossed three time
(i) Draw a tree diagram showing the event A happening for the three tosses.
(ii) Calculate the probability that A occurs:
(a) Exactly once
(b) At least once
(c) At most once
Date posted:
May 8, 2019
.
Answers (1)
-
A particle moving with acceleration a = (10 –t) m/s2. When t = 1 velocity V = 2 m/s and when t = 0 displacement...
(Solved)
A particle moving with acceleration a = (10 –t) m/s2. When t = 1 velocity V = 2 m/s and when t = 0 displacement S =
OM.
(a) Express displacement and velocity in terms of t.
(b) Calculate the velocity when t = 35
(c) What is the displacement when t = 5
(d) Calculate maximum velocity.
Date posted:
May 8, 2019
.
Answers (1)
-
A mobile dealer sells phones of two types: Nokia and Motorola. The price of one nokia and one Motorola phone is Ksh
2000 and Ksh 16000...
(Solved)
A mobile dealer sells phones of two types: Nokia and Motorola. The price of one nokia and one Motorola phone is Ksh
2000 and Ksh 16000 respectively. The dealers wishes to have al least fifty mobile phones. The number of Nokia
phones should be at least the same as those of Motorola phones. He has Ksh 120,000 to spend on phones. If he
purchases x Nokia phones and y Motorola phones;
(a) Write down all the inequalities to represent the above information.
(b) Represent the inequalities in part (a) above on the grid provided.
(c) The profit on a nokia phone is Ksh 200 and that on a Motorola phone is Ksh 300. Find the number of phones of
each type he should stock so as to maximize profit.
Date posted:
May 8, 2019
.
Answers (1)
-
A right pyramid has a rectangular base of 12 cm by 16cm. its slanting lengths are 26 cm. Determine:
(Solved)
A right pyramid has a rectangular base of 12 cm by 16cm. its slanting lengths are 26 cm. Determine:
(a) The length of AC
(b) The angle AV makes with the base ABCD.
Date posted:
May 8, 2019
.
Answers (1)
-
Find the coordinates of the image of a point (5, -3) when its rotated through 1800 about (3,1).
(Solved)
Find the coordinates of the image of a point (5, -3) when its rotated through 1800 about (3,1).
Date posted:
May 8, 2019
.
Answers (1)
-
A chord of AB of length 13cm subtends an angle of 670 at the circumference of a circle centre O. find the radius of the
circle.
(Solved)
A chord of AB of length 13cm subtends an angle of 670 at the circumference of a circle centre O. find the radius of the
circle.
Date posted:
May 8, 2019
.
Answers (1)
-
A bus and a matatu left Voi from Mombasa, 240 km away at 8.00 am. They travelled at 90 km/h and 120 km/h
respectively. After 20...
(Solved)
A bus and a matatu left Voi from Mombasa, 240 km away at 8.00 am. They travelled at 90 km/h and 120 km/h
respectively. After 20 minutes the matatu had a puncture which took 30 minutes to mend. It then continued with the
journey.
(a) How far from Voi did the catch up with the bus.
(b) At what time did the matatu catch up with the bus?
(c) At what time did the bud reach Mombasa?
Date posted:
May 8, 2019
.
Answers (1)
-
A car whose initial value is Ksh 600,000 depreciates at a rate of 12% p.a. Determine:
(Solved)
A car whose initial value is Ksh 600,000 depreciates at a rate of 12% p.a. Determine:
(a) Its value after 5 years.
(b) Its value of depreciation after 5 years.
(c) The number of year it will take for the value of the car to be Ksh 300,000
Date posted:
May 8, 2019
.
Answers (1)
-
Two men each working for 8 hours a day can cultivate an acre of land in 4 days. How long would 6 men, each working
4...
(Solved)
Two men each working for 8 hours a day can cultivate an acre of land in 4 days. How long would 6 men, each working
4 hours a day take to cultivate 4 acres?
Date posted:
May 8, 2019
.
Answers (1)
-
Mr. Onyango’s piece of land is in a form of triangle whose dimensions are 1200M, 1800M and 1500M respectively.
Find the area of this land in...
(Solved)
Mr. Onyango’s piece of land is in a form of triangle whose dimensions are 1200M, 1800M and 1500M respectively.
Find the area of this land in ha. (Give your answer to the nearest whole number).
Date posted:
May 8, 2019
.
Answers (1)
-
An airplane leaves point A (600S, 100W) and travels due East for a distance of 960 nautical miles to point B. determine the position of...
(Solved)
An airplane leaves point A (600S, 100W) and travels due East for a distance of 960 nautical miles to point B. determine the position of B and the time difference between points A and B.
Date posted:
May 8, 2019
.
Answers (1)