-
On a certain day Mwema bought plates worth Ksh 120. On another day Mrs Mwema spent the same amount of money
but bought the plates at...
(Solved)
On a certain day Mwema bought plates worth Ksh 120. On another day Mrs Mwema spent the same amount of money
but bought the plates at a discount of 20% per plate.
(a) If Mwema bought a plate at sh x write down a simplified expression for the total number of plates bought by the
two people.
(b) If Mrs. Mwema bought 6 plates more than her husband find how much each spent on a plate.
(c) Find the total number of plates bought by the family.
Date posted:
May 9, 2019
.
Answers (1)
-
Two circles centres O and C have radii 7.2cm and 6.5cm respectively. The two circles intersect at P and Q and PQ
=10cm.
(Solved)
Two circles centres O and C have radii 7.2cm and 6.5cm respectively. The two circles intersect at P and Q and PQ
=10cm.

(a) Find
(i) angle POQ
(ii)angle PCQ
(b) The area of the shaded part. Give answer to 4s.f.
(c) Express angle POQ in radians.
Date posted:
May 9, 2019
.
Answers (1)
-
A glass is in the shape of a frustum of a cone.
(Solved)
A glass is in the shape of a frustum of a cone.

The bottom of the glass is a curve of radius 2cm. A father pours water into the glass to a height of 9cm, while the
surface of the water is a circle of radius 6cm.
(a) Calculate the volume of the water in the glass.
(b) The son who is playing with marbles drops two spherical balls into the water. The water level in the glass rises by
1.5cm as a result.
Calculate:
(i) the volume of one marble.
(ii) the radius of a marble.
Date posted:
May 9, 2019
.
Answers (1)
-
The table below gives the marks scored by a group of students in an exam.
(Solved)
The table below gives the marks scored by a group of students in an exam.

(a) Given that the mean mark was 32.125, find x.
(b) State the modal class.
(c) Calculate the interquartile range.
Date posted:
May 9, 2019
.
Answers (1)
-
(a) Complete the table below for y = 8 - 10x - 3x2.
(Solved)
(a) Complete the table below for y = 8 - 10x - 3x2.

(b) On the grid provided, draw the graph of y = 8 - 10x -3x2
(c) State the equation of the line of symmetry of y = 8 - 10x - 3x2
(d) Use your graph to solve:
(i) 3x2+ 10x - 8 = 0
(ii) 3x2+ 11x + 6 = 0
Date posted:
May 9, 2019
.
Answers (1)
-
A ship sails from A to D through B and C. B is 500km on a bearing of N50°E from A. C is on a...
(Solved)
A ship sails from A to D through B and C. B is 500km on a bearing of N50°E from A. C is on a bearing of 340° from B and
at a distance of 620km. The bearings of D from A and C are N20°W and 560°W respectively.
(a) Using the scale 1cm to rep 100km, show the relative positions of A, B, C and D.
(b) Find the distance of D from:
(i) A
(ii) C
(c) Find the bearing of D from B.
(d) If the ship was sailing at an average of 500km/h. Find how long the journey took. Give the
answer to the nearest hour.
Date posted:
May 9, 2019
.
Answers (1)
-
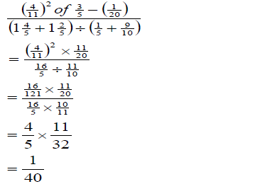
Evaluate the following expression
(Solved)
Evaluate the following expression

Date posted:
May 9, 2019
.
Answers (1)
-
Given that 5x = 4y, evaluate
(Solved)
Given that 5x = 4y, evaluate

Date posted:
May 9, 2019
.
Answers (1)
-
Find a 2 x 2 matrix m such that;
(Solved)
Find a 2 x 2 matrix m such that;

Date posted:
May 9, 2019
.
Answers (1)
-
The angle of elevation of the top of a flag post from a point A on the level ground is 12°. The angle of elevation...
(Solved)
The angle of elevation of the top of a flag post from a point A on the level ground is 12°. The angle of elevation of the top
of the flag post from another point B nearer to the flag post and 98m away from A is 34°. B is in between A and the
bottom of the flag post and the three points are collinear. Find the height of the flag post to the nearest metre.
Date posted:
May 9, 2019
.
Answers (1)
-
Pamba bought 4 mobile phones and 2 laptops for ksh, 108,000. Rebecca bought 3 mobile phones and 5 laptops from the same shop for ksh...
(Solved)
Pamba bought 4 mobile phones and 2 laptops for ksh, 108,000. Rebecca bought 3 mobile phones and 5 laptops from the same shop for ksh 228,000. How much will Juma pay for one mobile phone and 2 laptops.
Date posted:
May 9, 2019
.
Answers (1)
-
The present ages of two children are 3 years and 5 years respectively. After how long will the sum of the squares of
their ages be...
(Solved)
The present ages of two children are 3 years and 5 years respectively. After how long will the sum of the squares of
their ages be 130?
Date posted:
May 9, 2019
.
Answers (1)
-
Use logarithms to 4 d.p to evaluate:
(Solved)
Use logarithms to 4 d.p to evaluate:

Date posted:
May 9, 2019
.
Answers (1)
-
Either by striding 48cm or 54cm, Joan takes an exact number of steps to cross the road. Find the least width of the road
in metres.
(Solved)
Either by striding 48cm or 54cm, Joan takes an exact number of steps to cross the road. Find the least width of the road
in metres.
Date posted:
May 9, 2019
.
Answers (1)
-
The interior angles of an irregular polygon are 70° and 110° and the rest are each 144°. Determine the number of sides
of the polygon.
(Solved)
The interior angles of an irregular polygon are 70° and 110° and the rest are each 144°. Determine the number of sides
of the polygon.
Date posted:
May 9, 2019
.
Answers (1)
-
Find a scalar K such that
(Solved)
Find a scalar K such that

Date posted:
May 9, 2019
.
Answers (1)
-
A line L is perpendicular to 3y - 4x = 7. Determine the acute angle between L and the x-axis.
(Solved)
A line L is perpendicular to 3y - 4x = 7. Determine the acute angle between L and the x-axis.
Date posted:
May 9, 2019
.
Answers (1)
-
Evaluate without using tables or a calculator.
(Solved)
Evaluate without using tables or a calculator.
100-1.5 X 320.2
Date posted:
May 9, 2019
.
Answers (1)
-
a) Complete the table below for the values of sin 2x and 2 cos (x - 30o)
(Solved)
a) Complete the table below for the values of sin 2x and 2 cos (x - 30o)

b) On the grid provided, use a suitable scale to draw the graphs of y = sin 2x and y = 2 cos (x - 30o)
for 0o ≤ x ≤ 180o
c) Using the graph in part (b) above.
i) Estimate the solution to the equation 2cos (x - 30o) - sin 2x = 0 for 0o ≤ x ≤ 180o
ii) Estimate the value of x for which 4 cos (x - 30o) + 3 = 0
Date posted:
May 9, 2019
.
Answers (1)
-
The table below shows marks scored by 40 candidates in an examination.
(Solved)
The table below shows marks scored by 40 candidates in an examination.

a) Using an assumed mean of 45.5 estimate :
i) Mean
ii) Standard deviation
b) Calculate the quartile deviation.
Date posted:
May 9, 2019
.
Answers (1)