-
Use logarithm table to evaluate to 4 decimal places.
(Solved)
Use logarithm table to evaluate to 4 decimal places.

Date posted:
May 9, 2019
.
Answers (1)
-
A right conical frustum of base radius 7cm, top radius 4cm and height 5cm is stuck onto a cylinder or base radius 7 cm and
height...
(Solved)
A right conical frustum of base radius 7cm, top radius 4cm and height 5cm is stuck onto a cylinder or base radius 7 cm and
height 6 cm and further attached to the hemisphere to form a closed solid as shown below. (Take pi = 22/7)

a) Find the volume of the solid.
b) Given that the mass or the solid is 2430g find its density.
Date posted:
May 9, 2019
.
Answers (1)
-
Three towns X, Y and Z are such that X is on a bearing of 120° and 20 km from Y. Town Z is on...
(Solved)
Three towns X, Y and Z are such that X is on a bearing of 120° and 20 km from Y. Town Z is on a bearing of 220o and 12km
from X.
a) Using a scale of 1cm to represent 2km, show the relative position of the places.
b) Find;
i) The distance between Y and Z
ii) The bearing of X from Z
iii) The bearing of Z from Y.
iv) The area of the figure bounded by XYZ.
Date posted:
May 9, 2019
.
Answers (1)
-
A bus left Kisumu for Nairobi at an average speed of 60km/hr. After 1½ hours another car left Kisumu for Nairobi along the
same route at...
(Solved)
A bus left Kisumu for Nairobi at an average speed of 60km/hr. After 1½ hours another car left Kisumu for Nairobi along the
same route at an average speed of 100km/hr. If the distance between Kisumu and Nairobi is 500km, determine:
a) i) The distance of the bus from Nairobi when the car took off.
ii) The distance the car travelled to catch up with the bus.
b) Immediately the car caught up with the bus, the car stopped for 25 minutes. Find the new average speed of which the car
travelled in order to reach Nairobi at the same time at the bus. (to the nearest whole number).
Date posted:
May 9, 2019
.
Answers (1)
-
A bus travelling at a an average speed of 63km/h, left the station at 8 : 15am. A car left the same station at 9:00...
(Solved)
A bus travelling at a an average speed of 63km/h, left the station at 8 : 15am. A car left the same station at 9:00 am and
caught up with the bus at 10:45. Find the average speed of the car.
Date posted:
May 9, 2019
.
Answers (1)
-
In the figure below angle EHF =angle EFH = 90°. HF = 5cm and EF = 12cm. Calculate the length of FG leaving your answer...
(Solved)
In the figure below angle EHF =angle EFH = 90°. HF = 5cm and EF = 12cm. Calculate the length of FG leaving your answer as a mixed
fraction.

Date posted:
May 9, 2019
.
Answers (1)
-
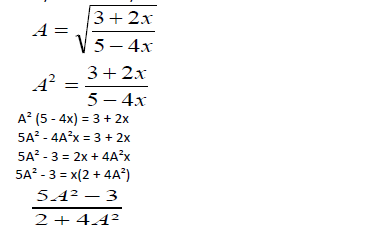
Use reciprocals, cubes and square root tables to evaluate.
(Solved)
Use reciprocals, cubes and square root tables to evaluate.

Date posted:
May 9, 2019
.
Answers (1)
-
a) Using the line given below construct the locus of a point P one side such that angle APB = 60°
(Solved)
a) Using the line given below construct the locus of a point P one side such that angle APB = 60°

b) On the same diagram locate the position of point C on the Locus of P and is equidistance from A and B.
Date posted:
May 9, 2019
.
Answers (1)
-
Find the integral values that satisfy the inequality.
2x + 3 = 5x - 3 > - 8
(Solved)
Find the integral values that satisfy the inequality.
2x + 3 ≥ 5x - 3 > - 8
Date posted:
May 9, 2019
.
Answers (1)
-
Two places P and Q are on the parallel of latitude 26°N. The two points lie on 10°W and 30°E longitudes respectively.
(Solved)
Two places P and Q are on the parallel of latitude 26°N. The two points lie on 10°W and 30°E longitudes respectively.
(a) Find the distance between P and Q along their parallel of latitude in
(i) km (Taking R = 6370km and pi = 3.142)
(ii) nm
(b) Find in km the distance between points P and Q along a great circle.
(c) Two planes X and Y left P for Q at an average speed of 1200 knots and 5000 knots respectively. If X flew along the
great circle and Y along the parallel of latitude, which one arrived earlier and by how much time?
Date posted:
May 9, 2019
.
Answers (1)
-
The diagram below shows two intersecting circles with centres X and Y. HG is a tangent to the circle centre X at C.
(Solved)
The diagram below shows two intersecting circles with centres X and Y. HG is a tangent to the circle centre X at C.

(a) Determine:
(i) Angle DXE
(ii) Length DE
(b) Hence, calculate the area of the shaded region.
Date posted:
May 9, 2019
.
Answers (1)
-
Given that OA = 3i + 2j - 4k and OB = 4i + 5j - 2k. P divides AB externally in the ratio 3:...
(Solved)
Given that OA = 3i + 2j - 4k and OB = 4i + 5j - 2k. P divides AB externally in the ratio 3: -2. Determine the position
vector of P in terms of i, j and k.
Date posted:
May 9, 2019
.
Answers (1)
-
P and Q are the points on the ends of the diameter of the circle below.
(Solved)
P and Q are the points on the ends of the diameter of the circle below.

(a) Write down in terms of x and y the equation of the circle in the form;
ax2 + by2 + x + y + c = 0
(b) Find the equation of the tangent at Q in the form ax + by + c = 0.
Date posted:
May 9, 2019
.
Answers (1)
-
(a) Given matrices P and Q below,Find PQ.
(Solved)
(a) Given matrices P and Q below,Find PQ.

(b) Hence, find the point of intersection of the lines 4x + y = 9 and 3y =2x -1
Date posted:
May 9, 2019
.
Answers (1)
-
A glass is in the shape of a frustum of a cone.
(Solved)
A glass is in the shape of a frustum of a cone.

The bottom of the glass is a curve of radius 2cm. A father pours water into the glass to a height of 9cm, while the
surface of the water is a circle of radius 6cm.
(a) Calculate the volume of the water in the glass.
(b) The son who is playing with marbles drops two spherical balls into the water. The water level in the glass rises by
1.5cm as a result.
Calculate:
(i) the volume of one marble.
(ii) the radius of a marble.
Date posted:
May 9, 2019
.
Answers (1)
-
The angle of elevation of the top of a flag post from a point A on the level ground is 12°. The angle of elevation...
(Solved)
The angle of elevation of the top of a flag post from a point A on the level ground is 12°. The angle of elevation of the top
of the flag post from another point B nearer to the flag post and 98m away from A is 34°. B is in between A and the
bottom of the flag post and the three points are collinear. Find the height of the flag post to the nearest metre.
Date posted:
May 9, 2019
.
Answers (1)
-
The interior angles of an irregular polygon are 70° and 110° and the rest are each 144°. Determine the number of sides
of the polygon.
(Solved)
The interior angles of an irregular polygon are 70° and 110° and the rest are each 144°. Determine the number of sides
of the polygon.
Date posted:
May 9, 2019
.
Answers (1)
-
The sketch below shows curve y = 2x2 + 4x + 3 and a straight line intersecting the curve at points A and B.
(Solved)
The sketch below shows curve y = 2x2 + 4x + 3 and a straight line intersecting the curve at points A and B.

If the x-intercepts is -3.5 and the y-intercept is 7, find :
a) the equation of the straight line.
b) the coordinates of A and B
c) the area of the shaded region
Date posted:
May 9, 2019
.
Answers (1)
-
Mrs Mureithi has 20 acres of land. She intends to grow maize and beans. She requires sh.2000 to plant an acre of maize
and sh.4000 for...
(Solved)
Mrs Mureithi has 20 acres of land. She intends to grow maize and beans. She requires sh.2000 to plant an acre of maize
and sh.4000 for an acre of beans. Twice the area to be planted with maize should not be less than one of beans. The
total capital available is sh.60000. The estimated profit is sh.5000 for an acre of maize and sh.7000 for an acre of
beans.
By letting x and y to represent the area to be planted with maize and beans respectively.
a) Find the inequalities to represent the information.
b) On the grid provided, represent the inequalities and show the region which satisfy the condition.
c) Determine the expected maximum profit.
Date posted:
May 9, 2019
.
Answers (1)
-
A triangle PQR whose vertices are P(2, 2), Q(5, 3) and R(4, 1) is mapped onto triangle P1Q1R1 by a transformation
whose matrix is
(Solved)
A triangle PQR whose vertices are P(2, 2), Q(5, 3) and R(4, 1) is mapped onto triangle P1Q1R1 by a transformation
whose matrix is

a) On the grid provided below, draw triangle PQR and triangle P1Q1R1
b) Triangle P1Q1R1 is mapped onto a triangle whose vertices are P11(-2, -2), Q11(-5, -3) and R11(-4, -1)
i) Draw triangle P11Q11R11 on the same grid.
ii) Find the matrix representing transformation that maps triangle P1Q1R1 onto triangle P11Q11R11
c) Describe the transformation that maps PQR onto triangle P11Q11R11
Date posted:
May 9, 2019
.
Answers (1)