-
Solve for m in the given equation
(Solved)
Solve for m in the given equation

Date posted:
May 10, 2019
.
Answers (1)
-
In the diagram below OA = a OB = b and c divides AB in the ratio 3 : -1. Find OC
(Solved)
In the diagram below OA = a OB = b and c divides AB in the ratio 3 : -1. Find OC

Date posted:
May 10, 2019
.
Answers (1)
-
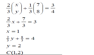
Find the value of the following;
(Solved)
Find the value of the following;

Date posted:
May 10, 2019
.
Answers (1)
-
Find the radius and centre of a circle whose equation is,
3x² + 3y² - 12x + 18y = 9
(Solved)
Find the radius and centre of a circle whose equation is,
3x² + 3y² - 12x + 18y = 9
Date posted:
May 10, 2019
.
Answers (1)
-
A quantity y is partly constant and partly varies as x. If x = 7, y = 4 and x = 16, y = 40....
(Solved)
A quantity y is partly constant and partly varies as x. If x = 7, y = 4 and x = 16, y = 40. Find the equation connecting x
and y . Find the value of x when y = 30.
Date posted:
May 10, 2019
.
Answers (1)
-
The sum of the first three positive numbers of a Geometric progression is 3. If the first term is three times the second
term, find the...
(Solved)
The sum of the first three positive numbers of a Geometric progression is 3. If the first term is three times the second
term, find the three numbers.
Date posted:
May 10, 2019
.
Answers (1)
-
Use mathematical tables to evaluate.
(Solved)
Use mathematical tables to evaluate.

Date posted:
May 10, 2019
.
Answers (1)
-
A sales man is paid a commission of 2% on goods worth over kshs 100,000. He is also paid a monthly salary of Kshs
12000. In...
(Solved)
A sales man is paid a commission of 2% on goods worth over kshs 100,000. He is also paid a monthly salary of Kshs
12000. In certain month, he sold 360 handbags at Kshs 500 each.
(a) Calculate the salesman's earnings that month.
(b) The following month, the salesman's monthly salary was increased by 10%. His total earnings that month was shs
17600 Calculate:
(i) the total amount of money received from the sales of handbags that month.
(ii) the total number of handbags sold that month.
Date posted:
May 10, 2019
.
Answers (1)
-
A bus left Mombasa and travelled towards Nairobi at an average speed of 60km/h. After 2½hours, a car left Mombasa
and travelled along the same road...
(Solved)
A bus left Mombasa and travelled towards Nairobi at an average speed of 60km/h. After 2½hours, a car left Mombasa
and travelled along the same road at an average speed of 100km/h. If the distance between Mombasa and Nairobi is
500km, determine:
(a) (i) the distance of the bus from Nairobi when the car took off.
(ii) the distance the car travelled to catch up with the bus.
(b) Immediately the car caught up with the bus, the car stopped for 25 minutes. Find the new average sped at which
the car travelled in order to reach Nairobi at the same time as the bus.
Date posted:
May 10, 2019
.
Answers (1)
-
The boundaries PQ, QR, RS and SP of a ranch are straight lines such that Q is 16km on a bearing of 040° from P....
(Solved)
The boundaries PQ, QR, RS and SP of a ranch are straight lines such that Q is 16km on a bearing of 040° from P. R is
directly south of Q and East of P and S is 12km on a bearing of 120° from R.
(a) Using a scale of 1cm to represent 2km, show the above information in a scale drawing.
(b) From the scale drawing determine:
(i) the distance in kilometres between P and S.
(ii) the bearing of P from S.
Date posted:
May 10, 2019
.
Answers (1)
-
(a) On the grid provided, draw the graph of the function y = ½ x² - x + 3 for 0 = x = 6
(Solved)
(a) On the grid provided, draw the graph of the function y = ½ x² - x + 3 for 0 ≤ x ≤ 6
(b) Calculate the mid-ordinates for 5 strips between x = 1 and x = 6 and hence use the mid-ordinate rule to
approximate the area under the curve between x = 1, x = 6, and x-axis.
(c) Assuming that the area determined by integration to be the actual area, calculate the percentage error in using the
mid-ordinate rule.
Date posted:
May 10, 2019
.
Answers (1)
-
A triangular plot ABC is such that AB = 36m, BC = 40m and AC = 42m.
(Solved)
A triangular plot ABC is such that AB = 36m, BC = 40m and AC = 42m.
( a) Calculate the :-
(i) Area of the plot in hectares.
(ii) The acute angle between the sides AB and BC.
(b) A water tap is to be installed inside the plot such that the tap is at the centre of the circumcircle passing through
the vertices A, B and C. Calculate the distance of the tap from the vertex A.
(c) Find the area outside the plot that would be watered by the sprinkler connected directly to the tap.
Date posted:
May 10, 2019
.
Answers (1)
-
The diagram on the grid provided below shows a trapezium ABCD on the same grid.
(Solved)
The diagram on the grid provided below shows a trapezium ABCD on the same grid.

( a) (i) Draw the image A1B1C1D1 and ABCD under a rotation of 90° clockwise about the origin.
(ii) Draw the image A11B11C11D11 of A1B1C1D1 under the reflection in line y = x. State coordinates of A11B11C11D11
(b) A111B111C111D111 in the image of A11B11C11D11 under the reflection in the line x=0. Draw the image A111B111C111D111
of and state its coordinates.
(c) Describe a single transformation that maps A11B11C11D11 onto ABCD.
Date posted:
May 10, 2019
.
Answers (1)
-
In the diagram below OA = a, OB = b the points P and Q are such that AP = 2/3 AB, OQ = 1/3...
(Solved)
In the diagram below OA = a, OB = b the points P and Q are such that AP = 2/3 AB, OQ = 1/3 OA

(a) Express OP and BQ in terms of a and b
(b) If OC = hOP and BC = kBQ, Express OC in two different way and hence
(i) Deduce the value of h and k.
(ii) Express vector OC in terms of a and b only.
(iii) State the ratio in which C divides BQ
Date posted:
May 10, 2019
.
Answers (1)
-
The diagram below represents the cross section of a solid prism of length 8cm
(Solved)
The diagram below represents the cross section of a solid prism of length 8cm

(a) Calculate the volume of the prism.
(b) Given that the density of the prism is 5.75gcm-³, calculate its mass in grams.
(c) A second prism is similar to the first one but it made of a different materials. The volume of the second prism is
246.24cm³.
Calculate the area of the cross-section of the second prism.
(d) Given that the ratio of the mass of the first prism to that of the second is 2.5, find the density of the second prism.
Date posted:
May 10, 2019
.
Answers (1)
-
A Kenyan bank buys and sells foreign currencies as shown below.
(Solved)
A Kenyan bank buys and sells foreign currencies as shown below.

A tourist arrived in Kenya with 105,000 Hong Kong dollars and change the whole amount to Kenya Shillings. While in
Kenya, she spent Kshs 403,879 and changed the balance to South African Rands before leaving for South Africa.
Calculate the amount in South African Rand that she received.
Date posted:
May 10, 2019
.
Answers (1)
-
Last year, Nafula was four times as old as her son, Kamau. In four years time, the sum of their ages will be 53.
Determine their...
(Solved)
Last year, Nafula was four times as old as her son, Kamau. In four years time, the sum of their ages will be 53.
Determine their present ages
Date posted:
May 10, 2019
.
Answers (1)
-
A fruit seller bought 144 pineapples at Kshs 100 for every six pineapples. He sold some of them at Kshs 72 for every
three and the...
(Solved)
A fruit seller bought 144 pineapples at Kshs 100 for every six pineapples. He sold some of them at Kshs 72 for every
three and the rest at Kshs 60 for every two. If he make a 65% profit, calculate the number of pineapples sold at Kshs
72 for every three.
Date posted:
May 10, 2019
.
Answers (1)
-
A rostrum is made by cutting off the upper part of a cone along a plane parallel to the base at 2/3 up the height....
(Solved)
A rostrum is made by cutting off the upper part of a cone along a plane parallel to the base at 2/3 up the height. What
fraction of the volume of the cone does the rostrum represent?
Date posted:
May 10, 2019
.
Answers (1)
-
Find the value of x which satisfy the equation.
(Solved)
Find the value of x which satisfy the equation.
52x - 6 × 5x + 5 = 0
Date posted:
May 10, 2019
.
Answers (1)