-
Study the circuit below and answer the questions that follow.
(i) Determine the effective resistance of the circuit.
(ii) Find the ammeter reading.
(iii)Find the p.d between...
(Solved)
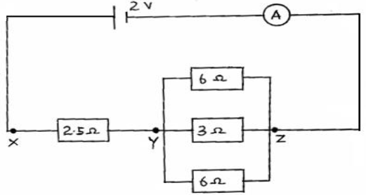
Study the circuit below and answer the questions that follow.

(i) Determine the effective resistance of the circuit.
(ii) Find the ammeter reading.
(iii)Find the p.d between X and Y.
(iv) State the factors that affect the resistance of a conductor.
Date posted:
May 22, 2019
.
Answers (1)
-
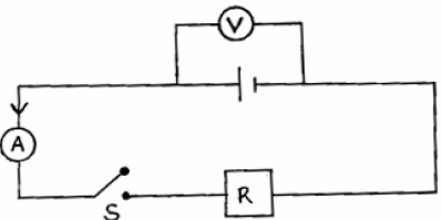
In an experiment to determine the internal resistance of a cell, the following circuit was used.
It was noted that when S is open, the voltmeter...
(Solved)
In an experiment to determine the internal resistance of a cell, the following circuit was used.

It was noted that when S is open, the voltmeter reads 1.5V and when S is closed the voltmeter reads 1.3V and ammeter reads 0.2A.
(i) What is the e.m.f of the cell.
(ii) Determine the lost voltage.
(iii)Find the value of R.
(iv) Find the internal resistance of the cell.
Date posted:
May 22, 2019
.
Answers (1)
-
The force on a straight conductor carrying current in a magnetic field can be varied by changing, among others, the magnitude of the current and...
(Solved)
The force on a straight conductor carrying current in a magnetic field can be varied by changing, among others, the magnitude of the current and the magnetic field strength. Name the other factors that can be changed to vary the force.
Date posted:
May 22, 2019
.
Answers (1)
-
A car accumulator is rated 40Al and is expected to supply a constant current for 120 minutes. Calculate the amount of current delivered.
(Solved)
A car accumulator is rated 40Al and is expected to supply a constant current for 120 minutes. Calculate the amount of current delivered.
Date posted:
May 22, 2019
.
Answers (1)
-
The figure below shows a ray of light incident on a face of semicircular prism.
Determine the refractive index of the glass prism.
(Solved)
The figure below shows a ray of light incident on a face of semicircular prism.
Determine the refractive index of the glass prism.

Date posted:
May 22, 2019
.
Answers (1)
-
Why are audio recording hall walls covered with soft materials?
(Solved)
Why are audio recording hall walls covered with soft materials?
Date posted:
May 22, 2019
.
Answers (1)
-
A bicycle tire is pumped to a pressure of 2.2 × 105pa at230C. After a race the pressure is found
to be 2.6 × 100 pa....
(Solved)
A bicycle tire is pumped to a pressure of 2.2 × 105pa at230C. After a race the pressure is found
to be 2.6 × 100 pa. Assuming the volume of the tire did not change, what is the temperature
of the air in the tire.
Date posted:
May 22, 2019
.
Answers (1)
-
The figure below shows a bottle top opener. Indicate on the diagram the direction of the load and effort.
(Solved)
The figure below shows a bottle top opener.

Indicate on the diagram the direction of the load and effort.
Date posted:
May 22, 2019
.
Answers (1)
-
A block and tackle system has 3 pulleys in the upper fixed block and two in the lower movableblock. What load can be lifted by...
(Solved)
A block and tackle system has 3 pulleys in the upper fixed block and two in the lower movable
block. What load can be lifted by the effort of 200N if the efficiency of the system is 60%?
Date posted:
May 22, 2019
.
Answers (1)
-
State two factors that reduce the stability of a vehicle while going round a banked bend.
(Solved)
State two factors that reduce the stability of a vehicle while going round a banked bend.
Date posted:
May 22, 2019
.
Answers (1)
-
The figure shows a bucket filled with water of mass 5kg tied on a string 2.0 m long being
rotated in a vertical circle with a...
(Solved)
The figure shows a bucket filled with water of mass 5kg tied on a string 2.0 m long being
rotated in a vertical circle with a constant speed V m/s.

Calculate the minimum speed the bucket takes to rotate in position A so that the water
remains in the bucket.
Date posted:
May 22, 2019
.
Answers (1)
-
A car of mass 6000kg is driven round a horizontal curve of radius 250m. if the force of friction
between the tyres and the road is...
(Solved)
A car of mass 6000kg is driven round a horizontal curve of radius 250m. if the force of friction
between the tyres and the road is 21000N, what is the maximum speed that the car can be
driven at on the curve without going off the road.
Date posted:
May 22, 2019
.
Answers (1)
-
A 180W heater is immersed in a copper calorimeter of mass 100g containing 200g of alcohol.
When he heater is switched on after 36 seconds the...
(Solved)
A 180W heater is immersed in a copper calorimeter of mass 100g containing 200g of alcohol.
When he heater is switched on after 36 seconds the temperature of calorimeter and its
contents rises t 120 . If S.H.C of water and copper is 4200 J/kgk and 400j/Kgk respectively.
Determine:
(i) Heat lost by the heater
(ii) Heat gained by calorimeter and alcohol, if the specific heat capacity of alcohol Cu.
(iii) The value of specific heat capacity of alcohol
Date posted:
May 21, 2019
.
Answers (1)
-
The fig below shows a hydraulic press used to compress a bale
(i) Explain briefly ho a force applied on the lever compresses the bale.
(ii) Given...
(Solved)
The fig below shows a hydraulic press used to compress a bale

(i) Explain briefly ho a force applied on the lever compresses the bale.
(ii) Given that the area of piston B is 18cm2 and that of piston A 3.0cm3. A force of 2N is
applied to piston A, find the force produced on the larger piston B that compresses
the bale.
Date posted:
May 21, 2019
.
Answers (1)
-
When a fountain pen is taken in a high aeroplane, it leaks. A ball point pen does not have this problem. Explain how the ball...
(Solved)
When a fountain pen is taken in a high aero plane, it leaks. A ball point pen does not have this
problem. Explain how the ball point is able to overcome this problem.
Date posted:
May 21, 2019
.
Answers (1)
-
Sketch on he axes provided a graph to show how mass per unit volume of water varies with
temperature when water is heated from 00 to...
(Solved)
Sketch on he axes provided a graph to show how mass per unit volume of water varies with
temperature when water is heated from 00 to 200

Date posted:
May 21, 2019
.
Answers (1)
-
On the axes provided sketch a graph of velocity (v) verses time (t) for uniformly accelerated
motion given that t=0,v is greater than zero.
(Solved)
On the axes provided sketch a graph of velocity (v) verses time (t) for uniformly accelerated
motion given that t=0,v is greater than zero.

Date posted:
May 21, 2019
.
Answers (1)
-
A box of mass 500g is dragged along a level ground at a speed of 12m/s. if the force of friction
between the box and the...
(Solved)
A box of mass 500g is dragged along a level ground at a speed of 12m/s. if the force of friction
between the box and the floor is 2000N, calculate the power developed.
Date posted:
May 21, 2019
.
Answers (1)
-
The figure shows the velocity time graph of two identical spheres released from the surfaces of
two liquids A and B.
Give a reason why the terminal...
(Solved)
The figure shows the velocity time graph of two identical spheres released from the surfaces of
two liquids A and B.

Give a reason why the terminal velocity of the sphere In B is higher than in A.
Date posted:
May 21, 2019
.
Answers (1)
-
When a Bunsen burner is lit below wire gauze, it is noted the flame initially burns below the gauze as shown in the diagram below. After sometime, the flame burns...
(Solved)
When a Bunsen burner is lit below wire gauze, it is noted the flame initially burns below the gauze
as shown in the figure below.
After sometime, the flame burns below as well as above the gauze as shown in

Explain this observation
Date posted:
May 21, 2019
.
Answers (1)