-
In the pipe below complete the diagram to show how air in the open pipe vibrates with a frequency of first overtone.
(Solved)
In the pipe below complete the diagram to show how air in the open pipe vibrates with a frequency of first overtone.

Date posted:
June 3, 2019
.
Answers (1)
-
The figure below shows a set up by a student.
State and explain what happens to the sound from the buzzer as the bottle and its...
(Solved)
The figure below shows a set up by a student.

State and explain what happens to the sound from the buzzer as the bottle and its contents are cooled to 0oC
Date posted:
June 3, 2019
.
Answers (1)
-
The figure shows a simple cell.
Use the information on the figure to answer the questions below.
(a) Name the parts labeled A and B
(b) It is...
(Solved)
The figure shows a simple cell.

Use the information on the figure to answer the questions below.
(a) Name the parts labeled A and B
(b) It is observed that the bulb goes off after a short time. Explain this observation
Date posted:
June 3, 2019
.
Answers (1)
-
A mine worker stands between two vertical cliffs 400m from the nearest cliff. The cliff are x and metres apart. Every time he strike the...
(Solved)
A mine worker stands between two vertical cliffs 400m from the nearest cliff. The cliff are x and metres apart. Every time he strike the rock once , he hears two echoes, the first one after 2.5 seconds, while the second follows 2 seconds later.
Calculate
(i) The speed of sound in air.
(ii) The value of x
Date posted:
June 3, 2019
.
Answers (1)
-
A bullet of mass 20g moving at 400 m/s strikes a block of wood of mass 3.5kg initially at rest. The bullet sticks into the...
(Solved)
A bullet of mass 20g moving at 400 m/s strikes a block of wood of mass 3.5kg initially at rest. The bullet sticks into the block and the two move off together on a horizontal surface, where a frictional retarting force of 4N is acting between the block and surface.
(i) Determine the initial common velocity of bullet and wooden block.
(ii) What distance does the block move before coming to rest?
Date posted:
June 3, 2019
.
Answers (1)
-
A striker kicks a ball of mass 250g initially at rest with a force of 75N. if the foot was in contact with the ball...
(Solved)
A striker kicks a ball of mass 250g initially at rest with a force of 75N. if the foot was in contact with the ball for 0.10sec. Calculate the take off velocity of the ball.
Date posted:
June 3, 2019
.
Answers (1)
-
1200g of a liquid at 100C is poured into a well-logged calorimeter. An electric heater rated 1KW is used to heat the liquid. The graph...
(Solved)
1200g of a liquid at 100C is poured into a well-logged calorimeter. An electric heater rated 1KW is used to heat the liquid. The graph in fig 4 below shows the variation of temperature of the liquid with time.

Use the graph to answer the following questions:
(i) What is the boiling point of the liquid?
(ii) How much heat is given out by the heater to take the liquid to the boiling point?
(iii) Determine the specific heat capacity of the liquid stating any assumptions made.
(iv) If 50g of the liquid vapour was collected by the end of the 8th minute, determine the specific latent heat of vaporization of the liquid.
Date posted:
June 3, 2019
.
Answers (1)
-
A test tube of mass 10g and uniform cross-sectional area 4cm2 is partly filled with lead shots and floats vertically in water with 5cm of...
(Solved)
A test tube of mass 10g and uniform cross-sectional area 4cm2 is partly filled with lead shots and floats vertically in water with 5cm of its length submerged.

Find the:-
(i) Mass of the lead shots.
(ii) Length of the test tube that would be submerged in a liquid of density 0.75g/cm3.
Date posted:
June 3, 2019
.
Answers (1)
-
The figure below shows a rectangular buoy of mass 4000kg tethered to the sea-bed by a wire. The dimensions are 4m x 1.5m x 2.2m.
Calculate...
(Solved)
The figure below shows a rectangular buoy of mass 4000kg tethered to the sea-bed by a wire. The dimensions are 4m x 1.5m x 2.2m.

Calculate the :-
(i) Weight of sea water displaced by the buoy (density of sea water = 1100kg/m3)
(ii) Upward force exerted on the buoy by the water.
(iii) Tension in the wire
Date posted:
June 3, 2019
.
Answers (1)
-
The effort piston of a hydraulic machine is of radius 2.8 cm, while that of the load piston is of radius 14cm. The machine raises...
(Solved)
The effort piston of a hydraulic machine is of radius 2.8 cm, while that of the load piston is of radius 14cm. The machine raises a load of 120 kg at a constant velocity through 2.5m. If the machine has an efficiency of 80%, find:-
(i) the velocity ratio of the hydraulic machine.
(ii) The mechanical advantage of the hydraulic machine.
(iii) The effort needed to raise the load.
Date posted:
June 3, 2019
.
Answers (1)
-
A quantity of air occupied 500cm3 at 150C when the pressure was 76 cm. Hg. At what temperature would it occupy 43 if the pressure...
(Solved)
A quantity of air occupied 500cm3 at 150C when the pressure was 76 cm. Hg. At what temperature would it occupy 43 if the pressure was 85cmHg?
Date posted:
June 3, 2019
.
Answers (1)
-
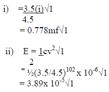
Sea water of density 1.04g/cm3 is being pumped into a tank through a pipe of uniform cross-sectional area of 3.142cm2. If the speed of water...
(Solved)
Sea water of density 1.04g/cm3 is being pumped into a tank through a pipe of uniform cross-sectional area of 3.142cm2. If the speed of water in the pipe is 5m/s, determine the mass flux in S.I unit.
Date posted:
June 3, 2019
.
Answers (1)
-
A spherical ball bearing of mass 0.0024 kg is held between the anvil and spindle of a micrometer screw gauge. The reading on the gauge...
(Solved)
A spherical ball bearing of mass 0.0024 kg is held between the anvil and spindle of a micrometer screw gauge. The reading on the gauge when the jaws are closed without anything in between is 0.11mm. Use this information and the position of the scale in the figure below to answer the questions (a) and (b) below:

a) What is the diameter of the ball bearing?
b) Find the density of the ball bearing correct to 3 significant figures
Date posted:
June 3, 2019
.
Answers (1)
-
Draw a circuit of showing full-wave rectification using a bridge rectifier.
(Solved)
Draw a circuit of showing full-wave rectification using a bridge rectifier.
Date posted:
June 3, 2019
.
Answers (1)
-
A piece of phosphorous crystal is added in the structure of silicon, state the minority charge carrier of the semiconductor formed.
(Solved)
A piece of phosphorous crystal is added in the structure of silicon, state the minority charge carrier of the semiconductor formed.
Date posted:
June 3, 2019
.
Answers (1)
-
The figure below shows a P-N junction diode connected to a dry cell.plot the I.V characteristic of diode.
(Solved)
The figure below shows a P-N junction diode connected to a dry cell.

plot the I.V characteristic of diode.
Date posted:
June 3, 2019
.
Answers (1)
-
An certain metal surface has a work function of 2.04 x 10-19J. Calculate the maximum kinetic energy in electron volt of the liberated elections when...
(Solved)
An certain metal surface has a work function of 2.04 x 10-19J. Calculate the maximum kinetic energy in electron volt of the liberated elections when the metal is illuminated by light of wavelength 4.5 x 10-7m.

Date posted:
June 3, 2019
.
Answers (1)
-
For a certain radioactive material, the average count-rate is found to be 82 counts per second. After 210 seconds, the count rate had dropped by...
(Solved)
For a certain radioactive material, the average count-rate is found to be 82 counts per second. After 210 seconds, the count rate had dropped by 63 counts per second. The average background count-rate remained constant at 10 counts per second. What is the half-life of the material?
Date posted:
June 3, 2019
.
Answers (1)
-
The figure below shows the wiring in a modern main appliance.
(i) Identify the colour of wires Y and Z.
(ii) A cooker rated 2.0KW was...
(Solved)
The figure below shows the wiring in a modern main appliance.

(i) Identify the colour of wires Y and Z.
(ii) A cooker rated 2.0KW was operated for 35 minutes each day for 30 days.
If the cost of each unit is Sh.12.5 Calculate the cost of electricity used.
Date posted:
June 3, 2019
.
Answers (1)
-
State the adjustments that can be made on a d.c generator to produce alternating current.
(Solved)
State the adjustments that can be made on a d.c generator to produce alternating current.
Date posted:
June 3, 2019
.
Answers (1)