-
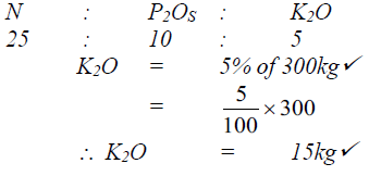
A farmer was advised to apply 150kg C.A.N /ha while top dressing a maize crop.C.A.N
contains 21%N. calculate the amount of nitrogen application per hectare(show your...
(Solved)
A farmer was advised to apply 150kg C.A.N /ha while top dressing a maize crop.C.A.N
contains 21%N. calculate the amount of nitrogen application per hectare(show your working)
Date posted:
June 10, 2019
.
Answers (1)
-
State two factors that would determine the amount of fertilizer to be top dressed to a crop in the field.
(Solved)
State two factors that would determine the amount of fertilizer to be top dressed to a crop in the field.
Date posted:
June 10, 2019
.
Answers (1)
-
Name the two types of labour records
(Solved)
Name the two types of labour records
Date posted:
June 10, 2019
.
Answers (1)
-
Discuss six problems faced by a farmer who does not keep proper farm records
(Solved)
Discuss six problems faced by a farmer who does not keep proper farm records
Date posted:
June 10, 2019
.
Answers (1)
-
Name four items that a maize farmer can enter into his consumable inventory records.
(Solved)
Name four items that a maize farmer can enter into his consumable inventory records.
Date posted:
June 10, 2019
.
Answers (1)
-
Outline six pieces of useful information contained in a field’s operation records.
(Solved)
Outline six pieces of useful information contained in a field’s operation records.
Date posted:
June 10, 2019
.
Answers (1)
-
Name a goat breed which can be reared for production of mohair.
(Solved)
Name a goat breed which can be reared for production of mohair.
Date posted:
June 10, 2019
.
Answers (1)
-
Give four characteristics of heavy poultry breeds.
(Solved)
Give four characteristics of heavy poultry breeds.
Date posted:
June 10, 2019
.
Answers (1)
-
Explain why exotic beef breeds of cattle are less suited to semi arid areas than indigenous beef cattle.
(Solved)
Explain why exotic beef breeds of cattle are less suited to semi arid areas than indigenous beef cattle.
Date posted:
June 10, 2019
.
Answers (1)
-
Name the dairy breed of cattle that produces milk with the highest butter fat content.
(Solved)
Name the dairy breed of cattle that produces milk with the highest butter fat content.
Date posted:
June 10, 2019
.
Answers (1)
-
State four factors to consider when selecting a site for the preparation of a compost pit.
(Solved)
State four factors to consider when selecting a site for the preparation of a compost pit.
Date posted:
June 10, 2019
.
Answers (1)
-
Briefly explain six advantages of farm yard manure (FYM) over straight fertilizers
(Solved)
Briefly explain six advantages of farm yard manure (FYM) over straight fertilizers
Date posted:
June 10, 2019
.
Answers (1)
-
State two factors which determine quality of compost manure.
(Solved)
State two factors which determine quality of compost manure.
Date posted:
June 10, 2019
.
Answers (1)
-
Outline two ways by which afforestation helps in land reclamation.
(Solved)
Outline two ways by which afforestation helps in land reclamation.
Date posted:
June 10, 2019
.
Answers (1)
-
Give three causes of hardpans in cultivation.
(Solved)
Give three causes of hardpans in cultivation.
Date posted:
June 10, 2019
.
Answers (1)
-
Outline four advantages of rolling in seedbed preparation.
(Solved)
Outline four advantages of rolling in seedbed preparation.
Date posted:
June 10, 2019
.
Answers (1)
-
Under what condition would one use a rasp or file to smoothen piece of wood other than a smoothing plane?
(Solved)
Under what condition would one use a rasp or file to smoothen piece of wood other than a smoothing plane?
Date posted:
June 10, 2019
.
Answers (1)
-
What are the functional difference between mason's trowel and garden trowel?
(Solved)
What are the functional difference between mason's trowel and garden trowel?
Date posted:
June 10, 2019
.
Answers (1)
-
Give one functional advantage of an adjustable spanner over the open ended spanner
(Solved)
Give one functional advantage of an adjustable spanner over the open ended spanner
Date posted:
June 10, 2019
.
Answers (1)
-
State two ways through which cultural practices affect agricultural production.
(Solved)
State two ways through which cultural practices affect agricultural production.
Date posted:
June 10, 2019
.
Answers (1)