-
In the figure below angle BAC =52o, angle ACB = 40o and AD = DC. The radius of
the circle is 7cm. EF is a tangent...
(Solved)
In the figure below angle BAC =52o, angle ACB = 40o and AD = DC. The radius of
the circle is 7cm. EF is a tangent to the circle

(a) Find; giving reasons
(i) angle DCF
(ii) angle AOB (obtuse)
(b) Calculate the area of the shaded segment AGB
Date posted:
June 19, 2019
.
Answers (1)
-
In the figure below, ATX is a tangent to the circle at point T, ABC is a straight line, angle
ABT = 100o, angle XTD =...
(Solved)
In the figure below, ATX is a tangent to the circle at point T, ABC is a straight line, angle
ABT = 100o, angle XTD = 58o and line AB = line BT. C and D lie on the circle

Find by giving reasons, the value of angle:
(a) TDC
(b) TCB
(c) TCD
(d) BTC
(e) DTC
Date posted:
June 19, 2019
.
Answers (1)
-
In the figure below, B, D, E, F and G are on the circumference of the circle centre O. A, B
and C form a tangent...
(Solved)
In the figure below, B, D, E, F and G are on the circumference of the circle centre O. A, B
and C form a tangent to the circle at point B. GD is the diameter of the circle. Given that
FG = DE, reflex angle GOB = 252°, angles DBC = 36° and FEG = 20°

Giving reasons in each case find the angles:
a) GEB
b) BED
c) OBE
d) BGE
e) GFE
Date posted:
June 19, 2019
.
Answers (1)
-
XYZ is a triangle in which x = 13.4cm, Z= 5cm and XYZ =57.7o . Find:
(i) Length of XZ
(ii) The circum radius of the triangle
(Solved)
XYZ is a triangle in which x = 13.4cm, Z= 5cm and XYZ =57.7o . Find:
(i) Length of XZ
(ii) The circum radius of the triangle
Date posted:
June 19, 2019
.
Answers (1)
-
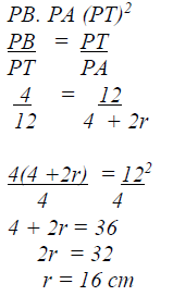
In the figure shown below, the centers of the two circles are A and B. PQ is a
common chord to the two circles. AP =...
(Solved)
In the figure shown below, the centers of the two circles are A and B. PQ is a
common chord to the two circles. AP = 6cm, BP=4cm and PQ =5cm

Calculate the area of the shaded region (take π as 3.142)
Date posted:
June 19, 2019
.
Answers (1)
-
In the figure below NR is a diameter of the circle centre O. Angle PNR = 7500 ? NRM = 500 and ?RPQ = 350....
(Solved)
In the figure below NR is a diameter of the circle centre O. Angle PNR = 7500 ∠ NRM = 500 and ∠RPQ = 350. MRS and PQS are straight lines.

Giving reasons for every statement you write, find the following angles
(a) ∠ PQR
(b) ∠QSR
(c) Reflex ∠POR
(d) ∠ MQR
Date posted:
June 19, 2019
.
Answers (1)
-
The eleventh term of an AP is four times the second term. If the sum of the first seven terms
of the AP is 175, find...
(Solved)
The eleventh term of an AP is four times the second term. If the sum of the first seven terms
of the AP is 175, find the first term and the common difference
Date posted:
June 19, 2019
.
Answers (1)
-
The figure below shows two circles centres A and B and radii 6 cm and 8 cm respectively. The
circles intersect at P and Q. Angle...
(Solved)
The figure below shows two circles centres A and B and radii 6 cm and 8 cm respectively. The
circles intersect at P and Q. Angle PAB = 420 and angle ABQ = 300.

(a) Find the size of ∠PAQ and PBQ.
(b) Calculate, to one decimal place the area of:
(i) Sector APQ and PBQ.
(ii) Triangle APQ and PBQ.
(iii) The shaded area (take π 22)
Date posted:
June 19, 2019
.
Answers (1)
-
The minute hand of a clock is 6.5 cm long. Calculate the distance in cm moved by its tip
between 10.30 am. and 10. 45 a.m....
(Solved)
The minute hand of a clock is 6.5 cm long. Calculate the distance in cm moved by its tip
between 10.30 am. and 10. 45 a.m. to 2 dpl
Date posted:
June 19, 2019
.
Answers (1)
-
In the figure below not drawn to scale. DC is a tangent to the circle. DC = 6cm, AB = 5cm. Calculate
BC.
(Solved)
In the figure below not drawn to scale. DC is a tangent to the circle. DC = 6cm, AB = 5cm. Calculate
BC.

Date posted:
June 19, 2019
.
Answers (1)
-
A customer deposited Ksh.15,500 in a savings account. Find the accumulated amount
after 3½ years if interest was paid at 16% per annum compounded semi-annually
(Solved)
A customer deposited Ksh.15,500 in a savings account. Find the accumulated amount
after 3½ years if interest was paid at 16% per annum compounded semi-annually
Date posted:
June 19, 2019
.
Answers (1)
-
Ashanti is a saleswoman and earns a commission on sales based on the monthly rates shown
in the table below:-
In addition, she earns a basic monthly...
(Solved)
Ashanti is a saleswoman and earns a commission on sales based on the monthly rates shown
in the table below:-

In addition, she earns a basic monthly pay of Kshs.6700. During a certain month, she earned
a total salary amounting to Kshs.8368. How much worth of sales did she make?
Date posted:
June 19, 2019
.
Answers (1)
-
The table below shows the annual income tax rates for a certain year.
Kiptoo earns a monthly salary of Kshs.25000. He is entitled to house and...
(Solved)
The table below shows the annual income tax rates for a certain year.

Kiptoo earns a monthly salary of Kshs.25000. He is entitled to house and medical allowances
of Kshs.12000 and Kshs.3000 respectively
Calculate:
(a) His taxable income per month
(b) His monthly tax payable
(c)His annual tax payable
Date posted:
June 19, 2019
.
Answers (1)
-
A company employee earns a basic salary of Kshs.25,000 and is also given taxable allowances
amounting to Kshs.10,480.
Using the table of taxation above:-
(a) Calculate the employee’s...
(Solved)
A company employee earns a basic salary of Kshs.25,000 and is also given taxable allowances
amounting to Kshs.10,480.

Using the table of taxation above:-
(a) Calculate the employee’s taxable income
(b) If the employee is entitled to a personal tax relief of Kshs.800 per month, determine the net tax
(c) If the employee was given 40% increase in his income, calculate the percentage increase
in his income tax
Date posted:
June 19, 2019
.
Answers (1)
-
A certain amount of money was invested at compound interest of 10% compounded
every two years for ten years. Given that the investor invested a total...
(Solved)
A certain amount of money was invested at compound interest of 10% compounded
every two years for ten years. Given that the investor invested a total of 500,000/= at the
end of the ten years, find the amount of money invested to the nearest shillings
Date posted:
June 19, 2019
.
Answers (1)
-
The cash price of a T.V set is Ksh. 26,000. Linda bought the set on hire purchase terms by
paying a deposit of Ksh. 6,000 and...
(Solved)
The cash price of a T.V set is Ksh. 26,000. Linda bought the set on hire purchase terms by
paying a deposit of Ksh. 6,000 and the balance by 24 equal monthly installments of
Khs. 1,045.30. Find the compound rate of interest per year.
Date posted:
June 19, 2019
.
Answers (1)
-
What would Kshs.15000 amount to after 3years at 16% per annum compounded quarterly?
(Solved)
What would Kshs.15000 amount to after 3years at 16% per annum compounded quarterly?
Date posted:
June 19, 2019
.
Answers (1)
-
Income rates for income earned were charged as follows:
Income in Kshs. p.m Rate in Kshs. per sh.20
1- 8400 ...
(Solved)
Income rates for income earned were charged as follows:
Income in Kshs. p.m Rate in Kshs. per sh.20
1- 8400 2
8401- 18,000 3
18,001- 30,000 4
30,000 - 36,000 5
36,001 - 48,000 6
48,001 and above 7
A civil servant earns a monthly salary of Ksh.19,200. His house allowance is Ksh12,000 per
month. Other allowces per month are transport Ksh.1300 and medical allowance Ksh.2300.
He is entitled to a family relief of Kshs. 1240 per month.
Determine:
a) (i) His taxable income per month.
(ii) Net tax. b) In addition, the following deductions were made
NHIF shs. 230
Service charge Kshs. 100
Loan repayment Kshs. 4000
Co-operative shares of Kshs. 1200.
Calculate his net salary per month.
Date posted:
June 19, 2019
.
Answers (1)
-
Use the taxation rates in the table below to answer the questions that follow;-
The manager of a certain company is entitled to a monthly personal...
(Solved)
Use the taxation rates in the table below to answer the questions that follow;-

The manager of a certain company is entitled to a monthly personal relief of shs.3000
and her tax (PAYE) is kshs.9000 per month she is also deducted NHIF shs.350 per month,
WCPS shs.800 per month and cooperative shares shs.1200 per month, calculate
(a) The managers total deductions per month
(b) Total tax per month
(c) The manager’s annual gross salary
(d) The manager’s monthly basic salary if her monthly allowance and medical allowances
are 10000 and 2000 shillings
Date posted:
June 19, 2019
.
Answers (1)
-
The table below shows the income tax for a certain year;
In that year, Odero paid a net tax of Kshs.5,512 per month. His total monthly...
(Solved)
The table below shows the income tax for a certain year;

In that year, Odero paid a net tax of Kshs.5,512 per month. His total monthly taxable allowances
amounted to Kshs.15,220 and he was entitled to a monthly personal relief of kshs.1,162.
Every month the following deductions were made;
N.H.I.F Kshs.320
Union dues Kshs.200
Co-operative shares Kshs.7,500
(a) Calculate Odero’s monthly basic salary in Kshs
(b) Calculate his monthly salary
Date posted:
June 19, 2019
.
Answers (1)