-
In the figure below ABC is a tangent to the circle at B. given that
(Solved)
In the figure below ABC is a tangent to the circle at B. given that 
Find the sizes of the following angles giving reasons in each case:
a)BDG
b)DGE
c)EFG
d)CBD
e)BCD
Date posted:
June 19, 2019
.
Answers (1)
-
The chords AB and PQ intersects internally at O. Given that the length of OP=8cm,
OA= 4.5cm and OQ=6cm. Calculate the length of OB
(Solved)
The chords AB and PQ intersects internally at O. Given that the length of OP=8cm,
OA= 4.5cm and OQ=6cm. Calculate the length of OB

Date posted:
June 19, 2019
.
Answers (1)
-
The figure below shows a circle centre O. AB and PQ are chords intersecting externally
at a point C. AB = 9cm, PQ = 5cm and...
(Solved)
The figure below shows a circle centre O. AB and PQ are chords intersecting externally
at a point C. AB = 9cm, PQ = 5cm and QC = 4cm. Find the value of x

Date posted:
June 19, 2019
.
Answers (1)
-
In the figure below, ABCD is a cyclic quadrilateral and BD is a diagonal. EADF is a straight line,
CDF = 68o, BDC = 45o...
(Solved)
In the figure below, ABCD is a cyclic quadrilateral and BD is a diagonal. EADF is a straight line,
CDF = 68o, BDC = 45o and BAE = 98o.

Calculate the size of:
a) ABD.
b) CBD
Date posted:
June 19, 2019
.
Answers (1)
-
Two pipes A and B can fill a tank in 3hrs and 4 hrs respectively. Pipe C can empty the full tank
in 6 hrs.
i) How...
(Solved)
Two pipes A and B can fill a tank in 3hrs and 4 hrs respectively. Pipe C can empty the full tank
in 6 hrs.
i) How long would it take pipes A and B to fill the tank if pipe C is closed?
ii) Starting with an empty tank, how long would it take to fill the tank with all pipes running?
Date posted:
June 19, 2019
.
Answers (1)
-
The figure below shows two pulleys of radii 6cm and 4cm with centres A and B respectively.
AB = 8cm. The pulleys are connected by a...
(Solved)
The figure below shows two pulleys of radii 6cm and 4cm with centres A and B respectively.
AB = 8cm. The pulleys are connected by a string PQXRSY

Calculate:
(a) Length PQ
(b) PAS reflex
(c) Length of arc PYS and QXR
(d) The total length of the string PQXRSY
Date posted:
June 19, 2019
.
Answers (1)
-
In the figure below AOD is a diameter of the circle cetre O. BC is a chord parallel to AD. FE is a
tangent to the...
(Solved)
In the figure below AOD is a diameter of the circle cetre O. BC is a chord parallel to AD. FE is a
tangent to the circle. OF bisects angle COD. Angle BCE = angle COE = 20o BC cuts OE at X

Calculate;
(a) angle BOE
(b) angle BEC
(c) angle CEF
(d) angle OXC
(e) angle OFE
Date posted:
June 19, 2019
.
Answers (1)
-
In the given figure, O is the centre of the circle and AOBP is a straight line. PT is a
tangent to the circle. If PT...
(Solved)
In the given figure, O is the centre of the circle and AOBP is a straight line. PT is a
tangent to the circle. If PT = 12cm and BP = 4cm. find the radius of the circle

Date posted:
June 19, 2019
.
Answers (1)
-
In the figure below angle BAC =52o, angle ACB = 40o and AD = DC. The radius of
the circle is 7cm. EF is a tangent...
(Solved)
In the figure below angle BAC =52o, angle ACB = 40o and AD = DC. The radius of
the circle is 7cm. EF is a tangent to the circle

(a) Find; giving reasons
(i) angle DCF
(ii) angle AOB (obtuse)
(b) Calculate the area of the shaded segment AGB
Date posted:
June 19, 2019
.
Answers (1)
-
In the figure below, ATX is a tangent to the circle at point T, ABC is a straight line, angle
ABT = 100o, angle XTD =...
(Solved)
In the figure below, ATX is a tangent to the circle at point T, ABC is a straight line, angle
ABT = 100o, angle XTD = 58o and line AB = line BT. C and D lie on the circle

Find by giving reasons, the value of angle:
(a) TDC
(b) TCB
(c) TCD
(d) BTC
(e) DTC
Date posted:
June 19, 2019
.
Answers (1)
-
In the figure below, B, D, E, F and G are on the circumference of the circle centre O. A, B
and C form a tangent...
(Solved)
In the figure below, B, D, E, F and G are on the circumference of the circle centre O. A, B
and C form a tangent to the circle at point B. GD is the diameter of the circle. Given that
FG = DE, reflex angle GOB = 252°, angles DBC = 36° and FEG = 20°

Giving reasons in each case find the angles:
a) GEB
b) BED
c) OBE
d) BGE
e) GFE
Date posted:
June 19, 2019
.
Answers (1)
-
XYZ is a triangle in which x = 13.4cm, Z= 5cm and XYZ =57.7o . Find:
(i) Length of XZ
(ii) The circum radius of the triangle
(Solved)
XYZ is a triangle in which x = 13.4cm, Z= 5cm and XYZ =57.7o . Find:
(i) Length of XZ
(ii) The circum radius of the triangle
Date posted:
June 19, 2019
.
Answers (1)
-
In the figure shown below, the centers of the two circles are A and B. PQ is a
common chord to the two circles. AP =...
(Solved)
In the figure shown below, the centers of the two circles are A and B. PQ is a
common chord to the two circles. AP = 6cm, BP=4cm and PQ =5cm

Calculate the area of the shaded region (take π as 3.142)
Date posted:
June 19, 2019
.
Answers (1)
-
In the figure below NR is a diameter of the circle centre O. Angle PNR = 7500 ? NRM = 500 and ?RPQ = 350....
(Solved)
In the figure below NR is a diameter of the circle centre O. Angle PNR = 7500 ∠ NRM = 500 and ∠RPQ = 350. MRS and PQS are straight lines.

Giving reasons for every statement you write, find the following angles
(a) ∠ PQR
(b) ∠QSR
(c) Reflex ∠POR
(d) ∠ MQR
Date posted:
June 19, 2019
.
Answers (1)
-
The eleventh term of an AP is four times the second term. If the sum of the first seven terms
of the AP is 175, find...
(Solved)
The eleventh term of an AP is four times the second term. If the sum of the first seven terms
of the AP is 175, find the first term and the common difference
Date posted:
June 19, 2019
.
Answers (1)
-
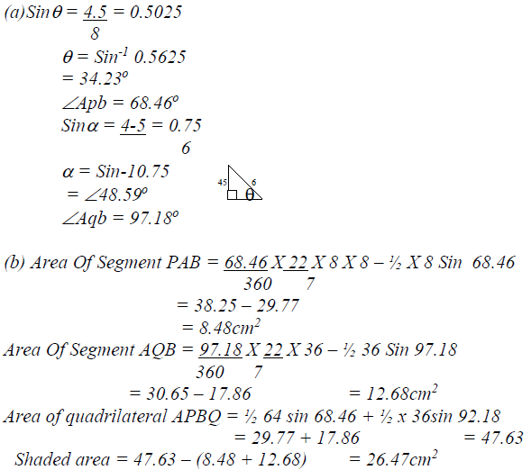
The figure below shows two circles centres A and B and radii 6 cm and 8 cm respectively. The
circles intersect at P and Q. Angle...
(Solved)
The figure below shows two circles centres A and B and radii 6 cm and 8 cm respectively. The
circles intersect at P and Q. Angle PAB = 420 and angle ABQ = 300.

(a) Find the size of ∠PAQ and PBQ.
(b) Calculate, to one decimal place the area of:
(i) Sector APQ and PBQ.
(ii) Triangle APQ and PBQ.
(iii) The shaded area (take π 22)
Date posted:
June 19, 2019
.
Answers (1)
-
The minute hand of a clock is 6.5 cm long. Calculate the distance in cm moved by its tip
between 10.30 am. and 10. 45 a.m....
(Solved)
The minute hand of a clock is 6.5 cm long. Calculate the distance in cm moved by its tip
between 10.30 am. and 10. 45 a.m. to 2 dpl
Date posted:
June 19, 2019
.
Answers (1)
-
In the figure below not drawn to scale. DC is a tangent to the circle. DC = 6cm, AB = 5cm. Calculate
BC.
(Solved)
In the figure below not drawn to scale. DC is a tangent to the circle. DC = 6cm, AB = 5cm. Calculate
BC.

Date posted:
June 19, 2019
.
Answers (1)
-
A customer deposited Ksh.15,500 in a savings account. Find the accumulated amount
after 3½ years if interest was paid at 16% per annum compounded semi-annually
(Solved)
A customer deposited Ksh.15,500 in a savings account. Find the accumulated amount
after 3½ years if interest was paid at 16% per annum compounded semi-annually
Date posted:
June 19, 2019
.
Answers (1)
-
Ashanti is a saleswoman and earns a commission on sales based on the monthly rates shown
in the table below:-
In addition, she earns a basic monthly...
(Solved)
Ashanti is a saleswoman and earns a commission on sales based on the monthly rates shown
in the table below:-

In addition, she earns a basic monthly pay of Kshs.6700. During a certain month, she earned
a total salary amounting to Kshs.8368. How much worth of sales did she make?
Date posted:
June 19, 2019
.
Answers (1)