-
Two business men Achaki and Mkazi contributed Ksh. 128, 000 and Ksh. 112,000 respectively to start a business.
(Solved)
Two business men Achaki and Mkazi contributed Ksh. 128, 000 and Ksh. 112,000 respectively to start a business. They agreed to share the profits as follows;
30% shared equally
30% shared in ratio of contributors
40% retained for running business.
Their profit for the year 2008 was Ksh. 86, 400
Calculate.
a) The amount shared equally.
b) The total amount received by each partner
c) The amount retained for running the business.
Date posted:
August 7, 2019
.
Answers (1)
-
A cylindrical water tank can be filled to a depth of 2.1metres by a pipe P in 2 hrs. Pipe Q takes 7hrs to fill...
(Solved)
A cylindrical water tank can be filled to a depth of 2.1metres by a pipe P in 2 hrs. Pipe Q takes 7hrs to fill the tank to the same depth. Pipe R can empty this amount of water in 6hrs.
(a) i) Starting with an empty tank, P runs alone for one hour. How many centimeters deep will the water in the tank be?
ii) Having run for an hour in (i) above, Pipe P continues to run for additional 20 minutes after which it’s turned off. The remaining two pipes are left open with pipe R left to run for 4 hours while pipe Q runs for 2 hours. What will the depth of water in the tank be?
b) If the tank was initially 6.5m full and the three pipes are open, how long will it take to fill the tank such that only a third of the initial height of the tank remains empty?
Date posted:
August 7, 2019
.
Answers (1)
-
Using a ruler and a pair of compasses only, draw a parallelogram ABCD in which AB = 8cm, BC = 6cm and 0....
(Solved)
Using a ruler and a pair of compasses only, draw a parallelogram ABCD in which AB = 8cm, BC = 6cm and 0. Drop a perpendicular from D to meet AB at N. Determine the length DN.
Date posted:
August 7, 2019
.
Answers (1)
-
The figure below shows a solid made by placing two equal regular tetrahedra.
(Solved)
The figure below shows a solid made by placing two equal regular tetrahedra.

a) Draw the net of the solid.
b) If each face is an equilateral triangle of side 5cm. Find the surface area of the solid to 4 s.f
Date posted:
August 7, 2019
.
Answers (1)
-
Find the integral values of x which satisfy the following inequalities
(Solved)
Find the integral values of x which satisfy the following inequalities
2 (2 - x) < 4x – 9 < x + 11
Date posted:
August 7, 2019
.
Answers (1)
-
Four towns P, R, T and S are such that R is 80km directly to the north of P and T is on a bearing...
(Solved)
Four towns P, R, T and S are such that R is 80km directly to the north of P and T is on a bearing of 290º from P at a distance of 65km. S is on a bearing of 330º from T and a distance of 30 km.
Using a scale of 1cm to represent 10km, make an accurate scale drawing to show the relative position of the towns.
Find:
(a) The distance and the bearing of R from T
(b) The distance and the bearing of S from R
(c) The bearing of P from S
Date posted:
August 7, 2019
.
Answers (1)
-
The length of a rectangle was increased by 30% while its width decreased by 15%. Determine the % change in the area of the rectangle.
(Solved)
The length of a rectangle was increased by 30% while its width decreased by 15%. Determine the % change in the area of the rectangle.
Date posted:
August 7, 2019
.
Answers (1)
-
A newspaper vendor has 30 bank notes with a total value of Sh. 900, if the notes are either in
Sh. 20 or Sh. 50 denominations,...
(Solved)
A newspaper vendor has 30 bank notes with a total value of Sh. 900, if the notes are either in
Sh. 20 or Sh. 50 denominations, how many of each does he have?
Date posted:
August 7, 2019
.
Answers (1)
-
The diagram below represents a pillar made of cylindrical and regular tetrahedral parts. The diameter and height of the cylindrical part are 1.4m and 1m...
(Solved)
The diagram below represents a pillar made of cylindrical and regular tetrahedral parts. The diameter and height of the cylindrical part are 1.4m and 1m respectively. The side of the regular tetrahedral face is 0.5m and its height is 3.2m.

Calculate the volume of the :
i) Cylindrical part
ii) Tetrahedral part
Date posted:
August 7, 2019
.
Answers (1)
-
In the figure below DA is a diameter of the circle ABCDE centre O, radius 10cm. AB=BC and angle DAC= 360
(Solved)
In the figure below DA is a diameter of the circle ABCDE centre O, radius 10cm. AB=BC and angle DAC= 360

Giving reasons, find the size of the angle;
(i) CDB;
(ii) DBC
(iii) DOC
(iv) OCA
(v) DEB
Date posted:
August 7, 2019
.
Answers (1)
-
Three points on a map A, B, and C are such that the bearing of B and C from A are 600 and 1500 respectively.
(Solved)
Three points on a map A, B, and C are such that the bearing of B and C from A are 600 and 1500 respectively. If the distance AB is 0.45m and BC is 0.75m, determine the distance AC.
Date posted:
August 7, 2019
.
Answers (1)
-
The size of each interior angle of a regular polygon is four times the size of the exterior angle. Find the number of sides of...
(Solved)
The size of each interior angle of a regular polygon is four times the size of the exterior angle. Find the number of sides of the polygon.
Date posted:
August 7, 2019
.
Answers (1)
-
Solve for x in the following equation.
(Solved)
Solve for x in the following equation.

Date posted:
August 7, 2019
.
Answers (1)
-
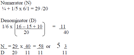
Without using tables or calculators evaluate. Give your answer as a mixed number.
(Solved)
Without using tables or calculators evaluate. Give your answer as a mixed number.

Date posted:
August 7, 2019
.
Answers (1)
-
The figure below represents below represents a prism of length 7 cm AB = AE = CD = 2 cm and BC – ED =...
(Solved)
The figure below represents below represents a prism of length 7 cm AB = AE = CD = 2 cm and BC – ED = 1 cm

Draw the net of the prism
Date posted:
August 7, 2019
.
Answers (1)
-
A two digit number is such that the sum of its digits is 13. The product of twice the tens digit and
the units digit minus...
(Solved)
A two digit number is such that the sum of its digits is 13. The product of twice the tens digit and
the units digit minus the original number is 22. Find the number.
Date posted:
August 7, 2019
.
Answers (1)
-
Use the square, cube root, and reciprocal table to evaluate to 4 d.p
(Solved)
Use the square, cube root, and reciprocal table to evaluate to 4 d.p

Date posted:
August 7, 2019
.
Answers (1)
-
Express the following recurring decimal as a fraction in its simplest form
(Solved)
Express the following recurring decimal as a fraction in its simplest form

Date posted:
August 7, 2019
.
Answers (1)
-
Water and ethanol are mixed such that the ratio of the volume of water to that of ethanol is 3: 1. Taking the density of...
(Solved)
Water and ethanol are mixed such that the ratio of the volume of water to that of ethanol is 3: 1. Taking the density of water as 1 g/cm3 and that of ethanol as 1.2g/cm3, find the mass in grams of 2.5 litres of the mixture.
Date posted:
August 7, 2019
.
Answers (1)
-
Find three quarters of the result and leave your answer as a fraction.
(Solved)
Divide
then add the result to the product of
Find three quarters of the result and leave your answer as a fraction.
Date posted:
August 7, 2019
.
Answers (1)