-
Make x the subject of the formula
(Solved)
Make x the subject of the formula 
Date posted:
August 8, 2019
.
Answers (1)
-
Solve the simultaneous equations
xy = 4
x + y = 5
(Solved)
Solve the simultaneous equations
xy = 4
x + y = 5
Date posted:
August 8, 2019
.
Answers (1)
-
Find t
(Solved)

Date posted:
August 8, 2019
.
Answers (1)
-
Evaluate the expression.
(Solved)
Evaluate the expression.

Date posted:
August 8, 2019
.
Answers (1)
-
A trouser whose marked price is Kshs 800 is sold to a customer after allowing him a discount of
13%.
(Solved)
A trouser whose marked price is Kshs 800 is sold to a customer after allowing him a discount of
13%. If the trader makes a profit of 20%, find how much the trader paid for the trouser.
Date posted:
August 8, 2019
.
Answers (1)
-
In the given figure, GJ is parallel to HI, FH is parallel to CJ.
(Solved)
In the given figure, GJ is parallel to HI, FH is parallel to CJ. Angle AGB = 300 and angle AHC
= 630. Find angle GCJ.

Date posted:
August 8, 2019
.
Answers (1)
-
Express the number 1470 and 7056 each as a product of its prime factor.
(Solved)
Express the number 1470 and 7056 each as a product of its prime factor. Hence evaluate
leaving the answer in prime factor form.
Date posted:
August 8, 2019
.
Answers (1)
-
The diameter of a circle to 2 s.f is given by 2.8cm. By taking pi = 3.142, calculate the percentage error in the determination of...
(Solved)
The diameter of a circle to 2 s.f is given by 2.8cm. By taking pi = 3.142, calculate the percentage error in the determination of its perimeter correct to 4 d.p
Date posted:
August 7, 2019
.
Answers (1)
-
Find the equation of the perpendicular bisector of the line segment passing through the points A(4,3) and B(2,7) in the form y=mx + c.
(Solved)
Find the equation of the perpendicular bisector of the line segment passing through the points A(4,3) and B(2,7) in the form y=mx + c.
Date posted:
August 7, 2019
.
Answers (1)
-
A UK tourist comes to Kenya with £30, 000. He pays 20% commission at the airport and his expenses in Kenya amounted to Kshs. 90,000....
(Solved)
A UK tourist comes to Kenya with £30, 000. He pays 20% commission at the airport and his expenses in Kenya amounted to Kshs. 90,000. How much money did he remain with in Ksh?(Take 1 UK £ = Kshs 70.50)
Date posted:
August 7, 2019
.
Answers (1)
-
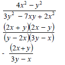
Simplify the expression
(Solved)
Simplify the expression

Date posted:
August 7, 2019
.
Answers (1)
-
The frequency table below shows the marks scored by the 40 pupils in a mathematics test.
(a) State the modal mark.
(b) Calculate the mean mark....
(Solved)
The frequency table below shows the marks scored by the 40 pupils in a mathematics test.

(a) State the modal mark.
(b) Calculate the mean mark.
(c) Calculate the median mark.
Date posted:
August 7, 2019
.
Answers (1)
-
The diagram below shows the net of a solid.
(a) Sketch the solid.
(b) State the order of rotational symmetry of the solid.
(Solved)
The diagram below shows the net of a solid.

(a) Sketch the solid.
(b) State the order of rotational symmetry of the solid.
Date posted:
August 7, 2019
.
Answers (1)
-
The gradient of a curve is given by (1 - x)2 and the curve cuts x - axis at x=3. Determine the equation of the...
(Solved)
The gradient of a curve is given by (1 - x)2 and the curve cuts x - axis at x=3. Determine the equation of the curve.
Date posted:
August 7, 2019
.
Answers (1)
-
A circle is inscribed in a square as shown below.
(Solved)
A circle is inscribed in a square as shown below.

What percentage of the square to 2dp is not covered by the circle?
Date posted:
August 7, 2019
.
Answers (1)
-
A tank with hemispherical dome-shaped base of radius 14cm was filled with water up to the top (tangent) of the hemispherical dome shape base as...
(Solved)
A tank with hemispherical dome-shaped base of radius 14cm was filled with water up to the top (tangent) of the hemispherical dome shape base as shown below.

a) The surface area of the tank in contact with the water.
b) The volume of water in litres.
c) A feeder pipe of diameter 14cm supplies water to this empty tank at the rate of 40cm3 /sec.
Calculate the time taken for the tank to be filled completely in hours.
Date posted:
August 7, 2019
.
Answers (1)
-
In the figure below, O is the centre of the circle. Angle AEB = 500, angle EBC = 800 and angle ECD = 300.
(Solved)
In the figure below, O is the centre of the circle. Angle AEB = 500, angle EBC = 800 and angle ECD = 300.

Giving reasons, calculate:
i) Angle CDE
ii) Angle DFE
iii) Obtuse Angle COE
iv) Angle ADE
Date posted:
August 7, 2019
.
Answers (1)
-
The volumes of two similar solids are 800cm3 and 2700cm3. If the surface area of the larger one is 2160cm2, find the surface area of...
(Solved)
The volumes of two similar solids are 800cm3 and 2700cm3. If the surface area of the larger one is 2160cm2, find the surface area of the smaller figure.
Date posted:
August 7, 2019
.
Answers (1)
-
Three years ago Juma was four times as old as his son Peter. In five years time the sum of their ages
will be 56. Find...
(Solved)
Three years ago Juma was four times as old as his son Peter. In five years time the sum of their ages
will be 56. Find their present ages.
Date posted:
August 7, 2019
.
Answers (1)
-
During a school assembly one Friday, three scouts, Morgan, Boris and Zeddy each stood 6m away from the foot of a vertical flag post 6m...
(Solved)
During a school assembly one Friday, three scouts, Morgan, Boris and Zeddy each stood 6m away from the foot of a vertical flag post 6m high. Their bearings from the flag post were 600, 1100 and 2200 respectively.
a) Draw a sketch of their relative positions.
b) Using a scale of 1cm: 1m make an accurate drawing of their positions.
c) Find the bearing of:
i) Morgan from Zeddy
ii) Boris from Morgan
d) Find the distance of Zeddy from Boris.
e) Find the angle of elevation of the top of the flag post from:
i) Morgan
ii) Boris
iii) Zeddy
Date posted:
August 7, 2019
.
Answers (1)