-
An expedition has 5 sections AB, BC, CD, DE and EA. B is 200m on a bearing of 0500 from A. C is 500m from...
(Solved)
An expedition has 5 sections AB, BC, CD, DE and EA. B is 200m on a bearing of 0500 from A. C is 500m from B. The bearing of B from C is 3000. D is 400m on a bearing 2300 from C. E is 250m on a bearing 0250 from D.
(a) Sketch the route
(b) Use the scale of 1cm to 50m to draw the accurate diagram representing the route.
(c) Use your diagram to determine
(i) Distance in metres of A from E
(ii) Bearing of E from A
Date posted:
August 9, 2019
.
Answers (1)
-
Use tables of reciprocal only to evaluate,hence evaluate ;
(Solved)
Use tables of reciprocal only to evaluate
,hence evaluate ;

Date posted:
August 9, 2019
.
Answers (1)
-
In the figure below, ABCD is a trapezium, AB is parallel to DC, diagonals AC and DB intersect at X and DC = 2AB. AB...
(Solved)
In the figure below, ABCD is a trapezium, AB is parallel to DC, diagonals AC and DB intersect at X and DC = 2AB. AB = a, DA = d,AX = KAC and DX = h DB, where h and K are constants.

(a) Find in terms of a and d
i) BC
ii) AX
iii) DX
b) Determine the values of h and k
Date posted:
August 9, 2019
.
Answers (1)
-
A carpenter constructed a closed wooden box with internal measurements 1.5metres long, 0.8 metres wide and 0.4 metres high. The wood used in constructing the...
(Solved)
A carpenter constructed a closed wooden box with internal measurements 1.5metres long, 0.8 metres wide and 0.4 metres high. The wood used in constructing the box was 1.0 cm thick and had a density of 0.6g/cm3.
a) Determine
i) Volume in cm3, of the wood used in constructing the box .
ii) mass of the box, in kilograms, correct to 1 decimal place.
b) Identical cylindrical tin of diameter 10cm, height 20cm with a mass of 120g each were packed in the box.
Calculate the:
i) Maximum number of tins that were packed.
ii) total mass of the box with the tins.
Date posted:
August 9, 2019
.
Answers (1)
-
a) Find A-1, the inverse of matrix is as shown below.
b) Okelo bought 5 physics books and six mathematics books for a total of Ksh.....
(Solved)
a) Find A-1, the inverse of matrix is as shown below

b) Okelo bought 5 physics books and six mathematics books for a total of Ksh.. 2440. Ali bought 7 physics books and 9 mathematics books for a total cost of ksh. 3560.
i) Form a matrix equation to represent the above information.
ii) Use matrix methods to find the price of a physics book and that of a mathematics book.
(c) A school bought 36 physics books and 50 mathematics books. A discount of 5 % was allowed
on each physics book whereas discount of 8% was allowed on each mathematics book.
Calculate the percentage discount on the cost of all the books bought.
Date posted:
August 9, 2019
.
Answers (1)
-
Given that Cos (x – 20)0 = Sin (2x + 32)0 and x is an acute angle, Find tan (x – 4)0
(Solved)
Given that Cos (x – 20)0 = Sin (2x + 32)0 and x is an acute angle, Find tan (x – 4)0
Date posted:
August 9, 2019
.
Answers (1)
-
In the figure below PQRS is a trapezium with QR parallel to PS. QR = 6cm, RS = 4cm, QS = 9cm and PS =...
(Solved)
In the figure below PQRS is a trapezium with QR parallel to PS. QR = 6cm, RS = 4cm, QS = 9cm and PS = 10cm.

Calculate
(a) The size of angle SQR
(b) The area of triangle PQS
Date posted:
August 9, 2019
.
Answers (1)
-
In a uniformly accelerated motion the distance, s metres, travelled in time t seconds varies partly as the square of the time. When the distance...
(Solved)
In a uniformly accelerated motion the distance, s metres, travelled in time t seconds varies partly as the square of the time. When the distance traveled is 80m and when the time is 3 seconds, the distance traveled is 135 metres.
a) Express s in terms of t
b) Find
i) the distance travelled in 5 seconds
ii) the time taken to travel the distance of 560 metres.
Date posted:
August 9, 2019
.
Answers (1)
-
The first term of an arithmetic progression (A.P) with six terms is P and its common difference is c. Another A.P with five terms has...
(Solved)
The first term of an arithmetic progression (A.P) with six terms is P and its common difference is c. Another A.P with five terms has also its first term as P and a common difference of d, the last term of two arithmetic progression are equal.
a) Express d in terms of c
b) Given that the 4th term of the second AP exceeds the 4th term of the first one by 1 ½, find
the values and c and d .
c) Calculate the value of p if the sum of the terms A. P is 10 more than the sum of the terms
of the second A. P.
Date posted:
August 9, 2019
.
Answers (1)
-
Wanza sold a bag of potatoes for Sh. 420 and made a profit. If she sold it at Sh. 320, she could have
made a loss....
(Solved)
Wanza sold a bag of potatoes for Sh. 420 and made a profit. If she sold it at Sh. 320, she could have
made a loss. Given that the profit is thrice the loss, how much did she pay for the bag of potatoes?
Date posted:
August 9, 2019
.
Answers (1)
-
Find the equation of the line perpendicular to 3x – 7y – 20 = 0, and passes through the point (5,2)
(Solved)
Find the equation of the line perpendicular to 3x – 7y – 20 = 0, and passes through the point (5,2)
Date posted:
August 9, 2019
.
Answers (1)
-
A customer paid ksh. 5, 800 for a suit after she was allowed a discount of 2 % on the selling price. If the discount...
(Solved)
A customer paid ksh. 5, 800 for a suit after she was allowed a discount of 2 % on the selling price. If the discount had not been allowed, the shopkeeper would have made a profit of 20% on the sale of the suit. Calculate the price at which the shopkeeper bought the suit.
Date posted:
August 9, 2019
.
Answers (1)
-
A farmer has enough feed to last 45 cows for 30 days. If he buys 5 more cows, how long will the feed
last?
(Solved)
A farmer has enough feed to last 45 cows for 30 days. If he buys 5 more cows, how long will the feed
last?
Date posted:
August 9, 2019
.
Answers (1)
-
Three pens and four exercise books cost Sh. 87. Two pens and five exercise books cost Sh. 93. Find the
cost of one pen and one...
(Solved)
Three pens and four exercise books cost Sh. 87. Two pens and five exercise books cost Sh. 93. Find the
cost of one pen and one exercise book.
Date posted:
August 9, 2019
.
Answers (1)
-
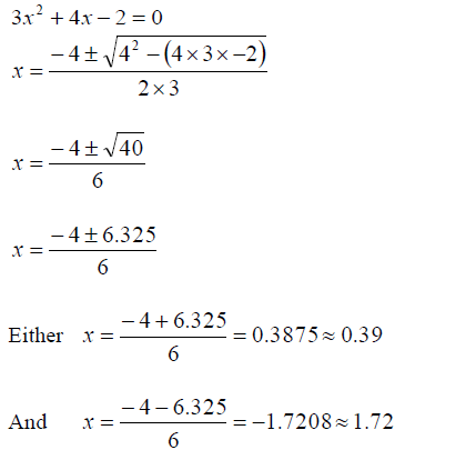
Solve for x given that
(Solved)
Solve for x given that 
Date posted:
August 9, 2019
.
Answers (1)
-
The sum of digits formed in a two digit number is 16. When the number is subtracted from the number
formed by reversing the digits, the...
(Solved)
The sum of digits formed in a two digit number is 16. When the number is subtracted from the number
formed by reversing the digits, the difference is 18. Find the number
Date posted:
August 9, 2019
.
Answers (1)
-
In the figure below, OPQR is a trapezium in which PQ is a parallel to OR and M is the mid- point of QR. OP=...
(Solved)
In the figure below, OPQR is a trapezium in which PQ is a parallel to OR and M is the mid- point of QR. OP= p, OR = r and PQ = ⅓ OR

Find OM in terms of p and r.
Date posted:
August 9, 2019
.
Answers (1)
-
The sum of three consecutive odd integers is greater than 219. Determine the first three such integers.
(Solved)
The sum of three consecutive odd integers is greater than 219. Determine the first three such integers.
Date posted:
August 9, 2019
.
Answers (1)
-
The sum of the interior angles of a regular polygon is 10800.
(Solved)
The sum of the interior angles of a regular polygon is 10800. Calculate
(a) The number of sides of the polygon
(b) The sizes of the exterior and interior angles of the polygon
Date posted:
August 9, 2019
.
Answers (1)
-
Three similar pieces of timber of length 240cm, 320cm and 380cm are cut into equal pieces. Find the
largest possible area of a square which can...
(Solved)
Three similar pieces of timber of length 240cm, 320cm and 380cm are cut into equal pieces. Find the
largest possible area of a square which can be made from any of the three pieces.
Date posted:
August 9, 2019
.
Answers (1)