-
O is the centre of the circle below and AB is parallel to DC. Angle ACD = 700 and angle ACB = 100.
(Solved)
O is the centre of the circle below and AB is parallel to DC. Angle ACD = 700 and angle ACB = 100.

Calculate angles
(i) ABC
(ii) OAD
Date posted:
August 9, 2019
.
Answers (1)
-
Three business partners, Bela, Joan and Trinity contributed Kshs. 112, 000, Kshs. 128, 000 and Kshs. 210, 000 respectively to start a business. They agreed...
(Solved)
Three business partners, Bela, Joan and Trinity contributed Kshs. 112, 000, Kshs. 128, 000 and Kshs. 210, 000 respectively to start a business. They agreed to share their profits as follows:
30% to be shared equally
30% to be shared in the ratio of their contributions
40% to be retained for the running of the business.
If at the end of the year, the business realized a profit of Kshs. 1. 35 million
Calculate:
(a) the amount of money retained for running the business at the end of the year.
(b) the difference between the amounts received by Trinity and Bela.
(c) Express Joan’s share as percentage of the total amount of money shared between the three partners.
Date posted:
August 9, 2019
.
Answers (1)
-
Three bells P, Q and R are programmed to ring after an interval of 15 minutes, 25 minutes and 50
minutes respectively. If they all rang...
(Solved)
Three bells P, Q and R are programmed to ring after an interval of 15 minutes, 25 minutes and 50
minutes respectively. If they all rang together at 8.45 a.m, when will they next ring together again.
Date posted:
August 9, 2019
.
Answers (1)
-
The figure below shows a regular tetrahedron PQRS of edges 4cm.Draw its net and measure the length of the straight path of PS through the...
(Solved)
The figure below shows a regular tetrahedron PQRS of edges 4cm.Draw its net and measure the length of the straight path of PS through the midpoint T over the edge QR.

Date posted:
August 9, 2019
.
Answers (1)
-
A number n is such that when it is divided by 27 and 30 or 45, the remainder is always 3. Find the
smallest value of...
(Solved)
A number n is such that when it is divided by 27 and 30 or 45, the remainder is always 3. Find the
smallest value of n.
Date posted:
August 9, 2019
.
Answers (1)
-
Find the equation of the perpendicular bisector of the line AB where the coordinates of A and B are (-3, 2) and (6, 4) respectively.
(Solved)
Find the equation of the perpendicular bisector of the line AB where the coordinates of A and B are (-3, 2) and (6, 4) respectively.
Date posted:
August 9, 2019
.
Answers (1)
-
The difference between the interior and exterior angles at each vertex of a regular polygon is 1620 .Find the number of sides of the polygon.
(Solved)
The difference between the interior and exterior angles at each vertex of a regular polygon is 1620 .Find the number of sides of the polygon.
Date posted:
August 9, 2019
.
Answers (1)
-
Without using a calculator or mathematical tables, evaluate;
(Solved)
Without using a calculator or mathematical tables, evaluate;

Date posted:
August 9, 2019
.
Answers (1)
-
Given that tan x = 2.4, evaluate without use of tables and calculators, sinx - cosx in the form of a/b
where a and b are...
(Solved)
Given that tan x = 2.4, evaluate without use of tables and calculators, sinx - cosx in the form of a/b
where a and b are integers.
Date posted:
August 9, 2019
.
Answers (1)
-
Find the value of x in the equation
(Solved)
Find the value of x in the equation

Date posted:
August 9, 2019
.
Answers (1)
-
The figure below shows a right angled triangle with AB = 12cm. ED is parallel to BA, CE = 6.3cm and ED = 8cm.
(Solved)
The figure below shows a right angled triangle with AB = 12cm. ED is parallel to BA, CE = 6.3cm and ED = 8cm.

Given that the area of EBAD = 31.5cm2, find the length of BC
Date posted:
August 9, 2019
.
Answers (1)
-
The members of a photograph club decided to buy a camera worth Shs. 4000 by each contributing the
same amount of money.
(Solved)
The members of a photograph club decided to buy a camera worth Shs. 4000 by each contributing the
same amount of money. Fifteen member failed to pay their contribution due to various reasons. As a
result each of the remaining members had to contribute Sh. 60 more.
(a) Find the number of members in the club
(b) What was the percentage increase in the contribution per month?
Date posted:
August 9, 2019
.
Answers (1)
-
A particle accelerates uniformly from rest and attains a maximum velocity of 30m/s after 16 seconds.
It travels at this constant velocity for the next 20...
(Solved)
A particle accelerates uniformly from rest and attains a maximum velocity of 30m/s after 16 seconds.
It travels at this constant velocity for the next 20 seconds before decelerating to rest after another 8
seconds. Calculate the total distance covered by the car.
Date posted:
August 9, 2019
.
Answers (1)
-
The diagram below shows the speed-time graph for a bus travelling between two stations. The bus
begins from rest and accelerates uniformly for 30 seconds.
(Solved)
The diagram below shows the speed-time graph for a bus travelling between two stations. The bus
begins from rest and accelerates uniformly for 30 seconds. It then travels at a constant speed for 60
seconds and finally decelerates uniformly for 40 seconds.

Given that the distance between the two stations in 2090m. Calculate
(a) The maximum speed, in km/h the bus attained
(b) The acceleration
(c) The distance traveled during the last 20 seconds
(d) The time the bus takes to travel the first half of the journey
Date posted:
August 9, 2019
.
Answers (1)
-
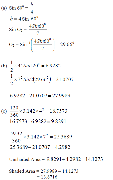
The figure below shows a rhombus PQRS with PQ = 9cm and angle SPQ=600. SXQ is a circular arc;centre P.
(Solved)
The figure below shows a rhombus PQRS with PQ = 9cm and angle SPQ=600. SXQ is a circular arc;
centre P.

Calculate the area of the shaded region correct to two decimal places. (Take pi=22/7 )
Date posted:
August 9, 2019
.
Answers (1)
-
Annette has some money in two denominations only. Fifty shilling notes and twenty shilling coins.
She has three times as many fifty shilling notes as twenty...
(Solved)
Annette has some money in two denominations only. Fifty shilling notes and twenty shilling coins.
She has three times as many fifty shilling notes as twenty shilling coins. If altogether she has sh. 3400,
find the number of fifty shilling notes and 20 shilling coins.
Date posted:
August 9, 2019
.
Answers (1)
-
A key cutting factory starts cutting keys at the rate of 500 per hour. The rate of production reduces by
10% every 2 hours. Calculate the...
(Solved)
A key cutting factory starts cutting keys at the rate of 500 per hour. The rate of production reduces by
10% every 2 hours. Calculate the numbers of keys cut in the first 6 hours.
Date posted:
August 9, 2019
.
Answers (1)
-
Given that a =-2, b = -1 and c=3, evaluate
(Solved)
Given that a =-2, b = -1 and c=3, evaluate

Date posted:
August 9, 2019
.
Answers (1)
-
Plot all the triangles in the grid provided and determine
(Solved)

Plot all the triangles in the grid provided and determine
(i) The transformation that maps A2B2C2 onto A3B3C3
(ii) The simple transformation that maps ABC onto A3B3C3
Date posted:
August 9, 2019
.
Answers (1)
-
Find the surface area and volume of the frustrum given below
(Solved)
Find

(a) The surface area of the frustrum
(b) The volume of frustrum shown.
Date posted:
August 9, 2019
.
Answers (1)