-
A right angled isosceles triangle has area of 4 square units. Find the perimeter of the triangle leaving your answer in surd form.
(Solved)
A right angled isosceles triangle has area of 4 square units. Find the perimeter of the triangle leaving your answer in surd form.
Date posted:
August 13, 2019
.
Answers (1)
-
On the grid provided, draw the triangle ABC and its image A1B1C1 on the same axes.
(Solved)
A transformation represented by the matrix
maps A(1, 3), B(3, 3) and C(2, 1) onto A1B1 and C1 respectively.
(a) (i) On the grid provided, draw the triangle ABC and its image A1B1C1 on the same axes.
(ii) Hence or otherwise determine the area of the triangle A1B1C1
(b) Another transformation represented by the matrix
maps A1B1C1 onto A11B11C11.
(i) Plot triangle A11B11C11 on the same axes
(ii) Describe the transformation represented by the matrix 
(c) Determine the matrix of the single transformation which maps A11B11C11 onto ABC.
Date posted:
August 13, 2019
.
Answers (1)
-
A cylindrical iron pipe is 2.1 m long and 12cm in external diameter, the metal is 1cm thickand its density is 7.8 g/cm3. Taking pie...
(Solved)
A cylindrical iron pipe is 2.1 m long and 12cm in external diameter, the metal is 1cm thick and its density is 7.8 g/cm3. Taking pie as 22/7 find its mass.
Date posted:
August 13, 2019
.
Answers (1)
-
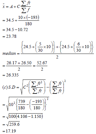
Find the value of
(Solved)
Find the value of

Date posted:
August 13, 2019
.
Answers (1)
-
The gradient of the of the curve y = ax2 +bx at the origin is equal to 8. Find the value of a and b...
(Solved)
The gradient of the of the curve y = ax2 +bx at the origin is equal to 8. Find the value of a and b if the curve has a maximum turning point at x = 4
Date posted:
August 13, 2019
.
Answers (1)
-
Mariga on arrival to Kenya to play for the country against Sychelles converted 6000 Eurosinto Kenya shillings. During his three day’s stay he spent Ksh....
(Solved)
Mariga on arrival to Kenya to play for the country against Sychelles converted 6000 Euros into Kenya shillings. During his three day’s stay he spent Ksh. 260,000.He converted the remaining amount into US dollars. How many US dollars did he get?(Use the exchange rate below)

Date posted:
August 13, 2019
.
Answers (1)
-
A circular path of width 14 metres surrounds a field of diameter 70 metres.
(Solved)
A circular path of width 14 metres surrounds a field of diameter 70 metres. The path is to be
carpeted and the field to have a concrete slab with an exception of four rectangular holes each
measuring 4 metres by 3 metres. A contractor estimated the cost of carpeting the path at sh. 300
per square metre and the cost of putting the concrete slab at sh. 400 per square metre. He then
made a quotation which was 15% more than the total estimate. After completing the job, he
realizes that 20% of the quotation was not spent.
(a) How much money was not spent?
(b) Find the actual cost of the contract
Date posted:
August 13, 2019
.
Answers (1)
-
By use of reciprocals, evaluate the following and give answer to 3 decimal places
(Solved)
By use of reciprocals, evaluate the following and give answer to 3 decimal places

Date posted:
August 13, 2019
.
Answers (1)
-
Three years ago, Joseph was three times older than Agnes. In two years time the sum of their ages will be 75. Determine their present...
(Solved)
Three years ago, Joseph was three times older than Agnes. In two years time the sum of their ages will be 75. Determine their present ages.
Date posted:
August 13, 2019
.
Answers (1)
-
simplify the expression below.
(Solved)
simplify the expression below.

Date posted:
August 13, 2019
.
Answers (1)
-
Find the L.C.M of (x—1), x2 – 1 and x2 + 2x + 1
(Solved)
Find the L.C.M of (x—1), x2 – 1 and x2 + 2x + 1
Date posted:
August 13, 2019
.
Answers (1)
-
A cone is made by cutting off a sector as shown below from a circle and gluing the straight edges
of the sector. The cone formed...
(Solved)
A cone is made by cutting off a sector as shown below from a circle and gluing the straight edges
of the sector. The cone formed has slant height 14cm and circular base of perimeter 11cm

(a) Calculate the value of theta
(b) The radius of the cone’s circular base
(c) The height of the cone.
(d) The cone is cut uniformly on a horizontal plane 1cm below the apex. Calculate the slant
height of the frustum so formed correct to 2 decimal places.
Date posted:
August 13, 2019
.
Answers (1)
-
The sum of all but one of the internal angles of pentagon is 4000. Find the number of degrees in the remaining angle.
(Solved)
The sum of all but one of the internal angles of pentagon is 4000. Find the number of degrees in the remaining angle.
Date posted:
August 13, 2019
.
Answers (1)
-
On some day, Mr. Makori bought some oranges worth ksh. 45. On another day of the same week, Mrs Makori spent the same amount of...
(Solved)
On some day, Mr. Makori bought some oranges worth ksh. 45. On another day of the same week, Mrs Makori spent the same amount of money but bought the oranges at a discount of 75 cents per orange.
(a) If Mr. Makori bought an orange at sh x, write down a simplified expression for the total number of oranges bought by the two in the week.
(b) If Mrs. Makori bought 2 oranges more than her husband, find how much each spent on an orange.
(c) Find the number of oranges bought for the family that week.
Date posted:
August 13, 2019
.
Answers (1)
-
Two circles with centres O1 and O2, have radii 7cm and 6cm respectively.
(Solved)
Two circles with centres O1 and O2, have radii 7cm and 6cm respectively. The two circles intersect at P and Q and the length of the common chord PQ is 10cm.

Calculate the area of the shaded region in the above diagram to 4 significant figures.
Date posted:
August 13, 2019
.
Answers (1)
-
A certain number of people were to contribute equally to buy books worth sh.1200 for a school library. Five people pulled out, so the others...
(Solved)
A certain number of people were to contribute equally to buy books worth sh.1200 for a school library. Five people pulled out, so the others agreed to contribute on extra sh.10 each. Their contributions enabled them to buy books worth sh.200 more than originally expected.
(a) If the original number of people was x, write an expression of how much each was originally
to contribute.
(b)Write down two expression of how much each contributed after the five people pulled out.
(c) Calculate how many people made the contribution.
Date posted:
August 9, 2019
.
Answers (1)
-
A wooden drum closed at the top and bottom has a top radius of 28cm and bottom radius 21cm, its height is 90cm. The drum...
(Solved)
A wooden drum closed at the top and bottom has a top radius of 28cm and bottom radius 21cm, its height is 90cm. The drum is covered with leather excluding the top and bottom.

Calculate;
(a) The volume of the drum in litres
(b) The area of the leather covering the drum excluding the top and bottom.
Date posted:
August 9, 2019
.
Answers (1)
-
Find the number of sides of a regular polygon whose sum of interior angle is 25200
(Solved)
Find the number of sides of a regular polygon whose sum of interior angle is 25200
Date posted:
August 9, 2019
.
Answers (1)
-
The figure below represents a model of a house whose base ABCD is a square of sides 10cm. AE= 15cm and EV=13cm.
a).(i) Draw the net...
(Solved)
The figure below represents a model of a house whose base ABCD is a square of sides 10cm. AE= 15cm and EV=13cm.

a).(i) Draw the net of the model
(ii) Calculate the total surface area of the solids
(b) The cross section of a prism consists of a regular hexagon of side 4.8cm as shown in the figure below
(i) Find the area of the cross-section
(ii) If the prism is 15cm long, calculate its volume
Date posted:
August 9, 2019
.
Answers (1)
-
In the figure below QOT is a diameter and angle QTP = 480, angle TQR = 760 and angle
SRT = 370.
Calculate giving reasons in each...
(Solved)
In the figure below QOT is a diameter and angle QTP = 480, angle TQR = 760 and angle
SRT = 370.

Calculate giving reasons in each case
(a) Angle RST
(b) Angle SUT
(c) Obtuse angle ROT
(d) Angle PST
(e) Reflex angle SOP
Date posted:
August 9, 2019
.
Answers (1)