-
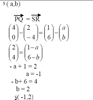
The position vector S of points A and B are a and b respectively. Determine the modulus of AB if a = 2i + 4j +...
(Solved)
The position vector S of points A and B are a and b respectively. Determine the modulus of AB if a = 2i + 4j + 3k and b= 2i+3j
Date posted:
August 13, 2019
.
Answers (1)
-
Deduce the value of tan 54° from this result
(Solved)
From a mathematical experiment it was found out that
Deduce the value of tan 54° from this result leaving your answer in the form
where a, b and c are integers.
Date posted:
August 13, 2019
.
Answers (1)
-
Find the distance in nautical miles between two places on the northern hemisphere with positions N (60°N, 18°E) and M (60°N, 102°W) along the parallel...
(Solved)
Find the distance in nautical miles between two places on the northern hemisphere with positions N (60°N, 18°E) and M (60°N, 102°W) along the parallel of latitude.
Date posted:
August 13, 2019
.
Answers (1)
-
Graham’s money-box contains only sh. 5 coins and sh. 10 coins. There are 24 coins and their total value is sh. 150. Find how many...
(Solved)
Graham’s money-box contains only sh. 5 coins and sh. 10 coins. There are 24 coins and their total value is sh. 150. Find how many of each kind of coins there are in the box.
Date posted:
August 13, 2019
.
Answers (1)
-
A father was three time as old as his son fifteen years ago and four times as old as his son nineteen years ago. When...
(Solved)
A father was three time as old as his son fifteen years ago and four times as old as his son nineteen years ago. When was the father twice as old as the Son?
Date posted:
August 13, 2019
.
Answers (1)
-
A two digit number is such that the difference between the ones digit and the tens digit is 2.If the two digits are interchanged, the...
(Solved)
A two digit number is such that the difference between the ones digit and the tens digit is 2. If the two digits are interchanged, the sum of the new and the original number is 132. Find the original number.
Date posted:
August 13, 2019
.
Answers (1)
-
In the figure below, AC is an arc of a circle centre B, angle ABD = 600, AB =BC=7cm and CD=5cm. If AE is parallel...
(Solved)
In the figure below, AC is an arc of a circle centre B, angle ABD = 600, AB =BC=7cm and CD=5cm. If AE is parallel to BD and AB is parallel to ED. Calculate the area of the shaded region.

Date posted:
August 13, 2019
.
Answers (1)
-
A right angled isosceles triangle has area of 4 square units. Find the perimeter of the triangle leaving your answer in surd form.
(Solved)
A right angled isosceles triangle has area of 4 square units. Find the perimeter of the triangle leaving your answer in surd form.
Date posted:
August 13, 2019
.
Answers (1)
-
A cylindrical iron pipe is 2.1 m long and 12cm in external diameter, the metal is 1cm thickand its density is 7.8 g/cm3. Taking pie...
(Solved)
A cylindrical iron pipe is 2.1 m long and 12cm in external diameter, the metal is 1cm thick and its density is 7.8 g/cm3. Taking pie as 22/7 find its mass.
Date posted:
August 13, 2019
.
Answers (1)
-
The gradient of the of the curve y = ax2 +bx at the origin is equal to 8. Find the value of a and b...
(Solved)
The gradient of the of the curve y = ax2 +bx at the origin is equal to 8. Find the value of a and b if the curve has a maximum turning point at x = 4
Date posted:
August 13, 2019
.
Answers (1)
-
A circular path of width 14 metres surrounds a field of diameter 70 metres.
(Solved)
A circular path of width 14 metres surrounds a field of diameter 70 metres. The path is to be
carpeted and the field to have a concrete slab with an exception of four rectangular holes each
measuring 4 metres by 3 metres. A contractor estimated the cost of carpeting the path at sh. 300
per square metre and the cost of putting the concrete slab at sh. 400 per square metre. He then
made a quotation which was 15% more than the total estimate. After completing the job, he
realizes that 20% of the quotation was not spent.
(a) How much money was not spent?
(b) Find the actual cost of the contract
Date posted:
August 13, 2019
.
Answers (1)
-
A cone is made by cutting off a sector as shown below from a circle and gluing the straight edges
of the sector. The cone formed...
(Solved)
A cone is made by cutting off a sector as shown below from a circle and gluing the straight edges
of the sector. The cone formed has slant height 14cm and circular base of perimeter 11cm

(a) Calculate the value of theta
(b) The radius of the cone’s circular base
(c) The height of the cone.
(d) The cone is cut uniformly on a horizontal plane 1cm below the apex. Calculate the slant
height of the frustum so formed correct to 2 decimal places.
Date posted:
August 13, 2019
.
Answers (1)
-
On some day, Mr. Makori bought some oranges worth ksh. 45. On another day of the same week, Mrs Makori spent the same amount of...
(Solved)
On some day, Mr. Makori bought some oranges worth ksh. 45. On another day of the same week, Mrs Makori spent the same amount of money but bought the oranges at a discount of 75 cents per orange.
(a) If Mr. Makori bought an orange at sh x, write down a simplified expression for the total number of oranges bought by the two in the week.
(b) If Mrs. Makori bought 2 oranges more than her husband, find how much each spent on an orange.
(c) Find the number of oranges bought for the family that week.
Date posted:
August 13, 2019
.
Answers (1)
-
Two circles with centres O1 and O2, have radii 7cm and 6cm respectively.
(Solved)
Two circles with centres O1 and O2, have radii 7cm and 6cm respectively. The two circles intersect at P and Q and the length of the common chord PQ is 10cm.

Calculate the area of the shaded region in the above diagram to 4 significant figures.
Date posted:
August 13, 2019
.
Answers (1)
-
A certain number of people were to contribute equally to buy books worth sh.1200 for a school library. Five people pulled out, so the others...
(Solved)
A certain number of people were to contribute equally to buy books worth sh.1200 for a school library. Five people pulled out, so the others agreed to contribute on extra sh.10 each. Their contributions enabled them to buy books worth sh.200 more than originally expected.
(a) If the original number of people was x, write an expression of how much each was originally
to contribute.
(b)Write down two expression of how much each contributed after the five people pulled out.
(c) Calculate how many people made the contribution.
Date posted:
August 9, 2019
.
Answers (1)
-
A wooden drum closed at the top and bottom has a top radius of 28cm and bottom radius 21cm, its height is 90cm. The drum...
(Solved)
A wooden drum closed at the top and bottom has a top radius of 28cm and bottom radius 21cm, its height is 90cm. The drum is covered with leather excluding the top and bottom.

Calculate;
(a) The volume of the drum in litres
(b) The area of the leather covering the drum excluding the top and bottom.
Date posted:
August 9, 2019
.
Answers (1)
-
Find the number of sides of a regular polygon whose sum of interior angle is 25200
(Solved)
Find the number of sides of a regular polygon whose sum of interior angle is 25200
Date posted:
August 9, 2019
.
Answers (1)
-
In the figure below QOT is a diameter and angle QTP = 480, angle TQR = 760 and angle
SRT = 370.
Calculate giving reasons in each...
(Solved)
In the figure below QOT is a diameter and angle QTP = 480, angle TQR = 760 and angle
SRT = 370.

Calculate giving reasons in each case
(a) Angle RST
(b) Angle SUT
(c) Obtuse angle ROT
(d) Angle PST
(e) Reflex angle SOP
Date posted:
August 9, 2019
.
Answers (1)
-
A straight road is northwards along the top of a vertical cliff of height 40m. A man at the top of the cliff spots a stationary...
(Solved)
A straight road is northwards along the top of a vertical cliff of height 40m. A man at the top of the cliff spots a stationary boat on a bearing of 900 from the foot of the cliff and at an angle of depression of 300. He walks northwards and after one minute views the stationary boat on a bearing of 1100 from the foot of the cliff as he moves at a constant speed.
(a) Make a sketch to represent the position of the man and the boat.
(b) Calculate the distance of the boat from the foot of the cliff.
(c) Find the shortest distance from the position of the man to the stationary boat after 1 minute
(d) Calculate the speed of the man in meters per second.
Date posted:
August 9, 2019
.
Answers (1)
-
The ends of the roof of a workshop are segment of a circle of radius 10m. The roof is 20m long . The angle of...
(Solved)
The ends of the roof of a workshop are segment of a circle of radius 10m. The roof is 20m long . The angle of the centre is 1200 as shown in the figure below

(a) Calculate:
(i) The area of one end of the roof.
(ii) The area of the curve surface of the roof.
(b) What would be cost to the nearest shilling of covering the two ends and the curved surface with galvanized iron sheet costing sh.80 per square meter.
Date posted:
August 9, 2019
.
Answers (1)