-
Without using mathematical tables evaluate.
(Solved)
Without using mathematical tables evaluate.

Date posted:
August 13, 2019
.
Answers (1)
-
Simplify the given expression completely
(Solved)
Simplify the given expression completely

Date posted:
August 13, 2019
.
Answers (1)
-
By using the substitution y = 2x, solve the equation.
5 x 22x+1 – 3 x 2x – 34 = 0
(Solved)
By using the substitution y = 2x, solve the equation.
5 x 22x+1 – 3 x 2x – 34 = 0
Date posted:
August 13, 2019
.
Answers (1)
-
Use logarithms tables to evaluate the expression below.
(Solved)
Use logarithms tables to evaluate the expression below.

Date posted:
August 13, 2019
.
Answers (1)
-
In the figure below O is the centre of a circle whose radius is 6cm and PQ is 9cm.
a) Calculate angle POQ.
b) Calculate the...
(Solved)
In the figure below O is the centre of a circle whose radius is 6cm and PQ is 9cm.

a) Calculate angle POQ.
b) Calculate the area of major segment.
c) Find the area of a triangle ABC with sides 7cm, 9cm and 11 cm long.
Date posted:
August 13, 2019
.
Answers (1)
-
The heights (cm) of some seedlings in a nursery are recorded in the table below.
a) Calculate the mean height of seedlings in the nursery.
b)...
(Solved)
The heights (cm) of some seedlings in a nursery are recorded in the table below.

a) Calculate the mean height of seedlings in the nursery.
b) Estimate the median height of the seedlings in the nursery.
c) On the grid provided, draw a histogram to represent the information.
Date posted:
August 13, 2019
.
Answers (1)
-
In the figure below (not drawn to scale) OABC is a parallelogram. AB is produced to T such that AB:BT = 3 : 1 and OA...
(Solved)
In the figure below (not drawn to scale) OABC is a parallelogram. AB is produced to T such that AB:BT = 3 : 1 and OA is produced to R such that OA : OR = 3 : 5. Given that OA = a and OC = c;

Express in terms of a and c vectors.
a) AC
b) CR
c) AT
d) CT
e) RT
Date posted:
August 13, 2019
.
Answers (1)
-
Town Q is 180km on bearing of 050o from town P. Another town R is on a bearing 110o from P and also on compass...
(Solved)
Town Q is 180km on bearing of 050o from town P. Another town R is on a bearing 110o from P and also on compass bearing S 30oE from Q. Town S is South of P and also West of R
Using scale 1 cm rep. 20 km;
a) Draw the scale diagram to show the positions of the four towns.
b) Use your scale diagram in (a) above to find;
i) The distance of R from P.
ii) The bearing of Q from S.
iii) The distance of Q from S.
iv) How far P is North of S.
Date posted:
August 13, 2019
.
Answers (1)
-
Given that tan yo = 0.75 and y is acute angle; Find the value of:-
i) Cos yo
ii) Sin yo
iii) Tan (90 – y)o
(Solved)
Given that tan yo = 0.75 and y is acute angle; Find the value of:-
i) Cos yo
ii) Sin yo
iii) Tan (90 – y)o
Date posted:
August 13, 2019
.
Answers (1)
-
Solve for acute angle x given that;
cos (x – 30)o – sin (3x + 50o) = 0
(Solved)
Solve for acute angle x given that;
cos (x – 30)o – sin (3x + 50o) = 0
Date posted:
August 13, 2019
.
Answers (1)
-
Two friends Jane and Tom live 40km apart. One day Jane left her house at 9.00am and cycled towards Tom’s house at an average speed...
(Solved)
Two friends Jane and Tom live 40km apart. One day Jane left her house at 9.00am and cycled towards Tom’s house at an average speed of 15km/hr. Tom left at 10.30am on the same day and cycled towards Jane’s house at an average speed of 25km/hr.
a) Determine;
i) The distance from Jane’s house, where the two friends met.
ii) The time they met.
iii) How far Jane was from Tom’s house when they met?
b) The two friends took 10 minutes at the meeting point and they cycled to Tom’s house at an average speed of 12km/hr. Find the time they arrived at Tom’s house.
Date posted:
August 13, 2019
.
Answers (1)
-
The figure below shows a glass in form of a frustrum of a cone whose top and bottom diameter of 7cm and 3.5cm respectively. Its depth...
(Solved)
The figure below shows a glass in form of a frustrum of a cone whose top and bottom diameter of 7cm and 3.5cm respectively. Its depth is 10cm.

Calculate;
a) Its total surface area.
b) Its capacity.
Date posted:
August 13, 2019
.
Answers (1)
-
Determine the obtuse angle made by line 3x – 2y = 6 and x-axis.
(Solved)
Determine the obtuse angle made by line 3x – 2y = 6 and x-axis.
Date posted:
August 13, 2019
.
Answers (1)
-
In the figure below (not drawn to scale) has points P, Q, R and S on the circumference of the circlecentre O, such that PQ...
(Solved)
In the figure below (not drawn to scale) has points P, Q, R and S on the circumference of the circle centre O, such that PQ is parallel to SR and angle SRQ = 125o.

Determine the size of angle:-
a) QOS obtuse
b) QPS
c) SQR
Date posted:
August 13, 2019
.
Answers (1)
-
A train moving 20 m/s takes 15 seconds to completely cross a bridge which is 30 metres long. What is the length of train in metres?
(Solved)
A train moving 20 m/s takes 15 seconds to completely cross a bridge which is 30 metres long. What is the length of train in metres?
Date posted:
August 13, 2019
.
Answers (1)
-
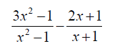
Simplify the expression below
(Solved)
Simplify the expression below

Date posted:
August 13, 2019
.
Answers (1)
-
Write down the inequalities that satisfy the unshaded region R shown in the figure below.
(Solved)
Write down the inequalities that satisfy the unshaded region R shown in the figure below.

Date posted:
August 13, 2019
.
Answers (1)
-
The midpoint of a vector PQ whose P (1, -4) and Q (x, y) is (-2, 5).
a) Find the values of x and y.
b) Calculate...
(Solved)
The midpoint of a vector PQ whose P (1, -4) and Q (x, y) is (-2, 5).
a) Find the values of x and y.
b) Calculate the length of PQ to 4 s.f
Date posted:
August 13, 2019
.
Answers (1)
-
Solve for x in the logarithm equation.
log (3x – 4) – log (3 – x) = 1
(Solved)
Solve for x in the logarithm equation.
log (3x – 4) – log (3 – x) = 1
Date posted:
August 13, 2019
.
Answers (1)
-
A positive two digit number is such that the product of the digits is 24. When the digits are reversed, the number formed is greater...
(Solved)
A positive two digit number is such that the product of the digits is 24. When the digits are reversed, the number formed is greater than original number by 18. Find the number.
Date posted:
August 13, 2019
.
Answers (1)