-
The figure below shows a triangle ABC which is right-angled at C. CB = 8cm and AC = 6cm. Find the length of CD given...
(Solved)
The figure below shows a triangle ABC which is right-angled at C. CB = 8cm and AC = 6cm. Find the length of CD given that CD is perpendicular to AB.

Date posted:
August 15, 2019
.
Answers (1)
-
Use tables of reciprocal and squares to evaluate, to 4 significant figures, the expression:
(Solved)
Use tables of reciprocal and squares to evaluate, to 4 significant figures, the expression:

Date posted:
August 15, 2019
.
Answers (1)
-
A plane leaves town P to town Q on a bearing of 130º and a distance of 350km. it then flies 500km on a bearing...
(Solved)
A plane leaves town P to town Q on a bearing of 130º and a distance of 350km. it then flies 500km on a bearing of 060º to town R. Find, by scale drawing the distance between town R andtown P.
Date posted:
August 15, 2019
.
Answers (1)
-
Using ruler and pair of compass only, construct triangle ABC in which AB = 6cm, BC = 8cm and angle ABC = 45º. Drop a...
(Solved)
Using ruler and pair of compass only, construct triangle ABC in which AB = 6cm, BC = 8cm and angle ABC = 45º. Drop a perpendicular from A to meet BC at M. Measure AM and AC.
Date posted:
August 15, 2019
.
Answers (1)
-
In the figure below angleMNO = 54º and angle PLM = 50º, PN = NM and PO is parallel to LM.Find the value of angle...
(Solved)
In the figure below angleMNO = 54º and angle PLM = 50º, PN = NM and PO is parallel to LM.Find the value of angle LPM.

Date posted:
August 15, 2019
.
Answers (1)
-
In a rectangle ABCD, the side AB has equation 3x + 2y = 6 and vertex D has coordinates (-2, 4). Find the equation of...
(Solved)
In a rectangle ABCD, the side AB has equation 3x + 2y = 6 and vertex D has coordinates (-2, 4). Find the equation of side AD in the form ax + by = C. Where a, b and C are integers.
Date posted:
August 15, 2019
.
Answers (1)
-
An article was bought at Ksh.2250 then later sold for Ksh.2520. Calculate:-
(i) the percentage profit.
(ii) the price at which it should be sold to...
(Solved)
An article was bought at Ksh.2250 then later sold for Ksh.2520. Calculate:-
(i) the percentage profit.
(ii) the price at which it should be sold to make a profit of 20%.
Date posted:
August 15, 2019
.
Answers (1)
-
The figure below represents a roof truss symmetrical about QS. Beam PQ is 5m long and strut TS is 2.4m long. The distance TQ is...
(Solved)
The figure below represents a roof truss symmetrical about QS. Beam PQ is 5m long and strut TS is 2.4m long. The distance TQ is 1.8m.

Calculate:-
(i) the height QS.
(ii) hence, find the span PR of the roof.
Date posted:
August 15, 2019
.
Answers (1)
-
In the Kapsabet station church choir, the ratio of male to female is 2:3. On one Sunday service,10 male members were absent and six new...
(Solved)
In the Kapsabet station church choir, the ratio of male to female is 2:3. On one Sunday service,10 male members were absent and six new female members joined the choir as guests for that day.If on this day the ratio of males to females was 1:3, how many regular members does the choir have?
Date posted:
August 15, 2019
.
Answers (1)
-
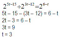
Evaluate the expression below;
(Solved)
Evaluate the expression below;

Date posted:
August 15, 2019
.
Answers (1)
-
Three Kenyan warships A,B and C are at sea such that ship B is 450km on a bearing of 0300 from
ship A. ship C is...
(Solved)
Three Kenyan warships A,B and C are at sea such that ship B is 450km on a bearing of 0300 from ship A. ship C is 700km from ship B on a bearing of 1200.An enemy ship D is sighted 1000km due south of ship B.
(a) Taking a scale of 1cm to represent 100km locate the position of the ships A,B,C and D
(b) Find the compass bearing of :
(i) Ship A from ship D
(ii) Ship D from ship C
(c) Use the scale drawing to determine
(i) The distance of D from A
(ii) The distance of C from D
(d) Find the bearing of :
(i) B from C
(ii) A from C
Date posted:
August 15, 2019
.
Answers (1)
-
Given that x-y=3 and 3x+y=17, find without solving for X and Y the value of
(a) 2xy-x2-y2
(b) 6xy+y2+9x2
(c) 3x2-2xy+y2
(Solved)
Given that x-y=3 and 3x+y=17, find without solving for X and Y the value of
(a) 2xy-x2-y2
(b) 6xy+y2+9x2
(c) 3x2-2xy+y2
(d)
Date posted:
August 15, 2019
.
Answers (1)
-
The diagram below shows a flower vase of depth 18cm. The ratio of the top and bottom diameters is 5:2.(Take pi =3.142).
Calculate
(a) The volume of...
(Solved)
The diagram below shows a flower vase of depth 18cm. The ratio of the top and bottom diameters is 5:2.
(Take pi =3.142).

Calculate
(a) The volume of the flower vase.
(b) The curved surface area of the flower vase.
Date posted:
August 15, 2019
.
Answers (1)
-
A car accelerates from rest for 10 seconds until it reaches a velocity of 12 metres per second.It then continues at this velocity for the...
(Solved)
A car accelerates from rest for 10 seconds until it reaches a velocity of 12 metres per second.It then continues at this velocity for the next 40 seconds after which it brakes and comes to rest until a constant retardation of 1.5 meres per second
(a) Determine
(i) The acceleration over the first 10 seconds.
(ii) The time taken during the retardation
(b) Draw the velocity time graph for the journey and use it to determine.
(i) The total distance covered by the car
(ii) The percentage of the total distance which was covered during the first 15 seconds.
Date posted:
August 15, 2019
.
Answers (1)
-
A plane leaves an airport P(100S,620E) and flies due north at 800km/h
(a) Find its position after 2 hrs.
(b) The plane turns and flies at the...
(Solved)
A plane leaves an airport P(100S,620E) and flies due north at 800km/h
(a) Find its position after 2 hrs.
(b) The plane turns and flies at the same speed due west. It reaches Q longitude of 120W.
(i) Find the distance it has traveled in nautical miles.
(b) The plane turns and flies at the same speed due west. It reaches Q longitude of 120W.
(i) Find the distance it has traveled in nautical miles.
(ii) Find the time it has taken (Take the radius of the earth to be 6370 km and 1 nautical mile to be 1.853km.
(c) If the local time at P was 1300 hrs when it reached Q, Find the local time at Q when it
landed at Q .
Date posted:
August 15, 2019
.
Answers (1)
-
The following figure represent a dancing floor with a carpeted margin all around of wide leaving a dancing space of (x-3)m by (x+3)m
If the...
(Solved)
The following figure represent a dancing floor with a carpeted margin all around of
wide leaving a dancing space of (x-3)m by (x+3)m

If the total area of the entire room is 315m2
(a) Calculate the value of x.
(b) Calculate the area of the carpeted margin.
(c) If the carpet cost sh. 750 per m2,calculate the total cost of the sealed margin.
Date posted:
August 15, 2019
.
Answers (1)
-
In the figure below,O is the centre of the circle.PQR is a tangent to the circle at Q. Angle PQS=280,angle UTQ=540 and UT =TQ.
Giving reasons...
(Solved)
In the figure below,O is the centre of the circle.PQR is a tangent to the circle at Q. Angle PQS=280,angle UTQ=540 and UT =TQ.

Giving reasons , determine the size of
(a) Angle STQ.
(b) Angle TQU.
(c) Angle TQS
(d) Reflex angle UOQ .
(e) Angle TQR.
Date posted:
August 15, 2019
.
Answers (1)
-
A bag contains 5 red , 4 white and 3 blue beads. Two beads are selected at random.
(a) Draw a tree diagram and list the...
(Solved)
A bag contains 5 red , 4 white and 3 blue beads. Two beads are selected at random.
(a) Draw a tree diagram and list the probability space.
(b) Find the probability that
(i) The last bead selected is red.
(ii) The beads selected were of the same color
(iii) At least one of the selected beads is blue.
Date posted:
August 15, 2019
.
Answers (1)
-
Find the inverse of the matrix below and hence solve the simultaneous equations below it.
2x+y=21
3x+2y=34
(Solved)
Find the inverse of the matrix below and hence solve the simultaneous equations below it.

2x+y=21
3x+2y=34
Date posted:
August 15, 2019
.
Answers (1)
-
The table below shows marks obtained by a form four class in a certain school.Use the table to represent the information on a histogram.
(Solved)
The table below shows marks obtained by a form four class in a certain school.Use the table to represent the information on a histogram.

Date posted:
August 15, 2019
.
Answers (1)