-
The figure below is a right pyramid with slant height of 5cm and square base of 4cm.
(a) Draw its net and label it.
(b) Calculate...
(Solved)
The figure below is a right pyramid with slant height of 5cm and square base of 4cm.

(a) Draw its net and label it.
(b) Calculate the total surface area.
Date posted:
August 15, 2019
.
Answers (1)
-
Chakol booksellers received US Dollars 100,000. The money was converted into Kenya Shillings in a bank which buys and sells foreign currencies as follows :
...
(Solved)
Chakol booksellers received US Dollars 100,000. The money was converted into Kenya Shillings in a bank which buys and sells foreign currencies as follows :
Buyng Selling
(In Kenya shillings) (In Kenya shillings)
1 US Dollar 77.24 77.44
1 Sterling pound 121.93 122.27
(a) Calculate the amount of money in Kenya shillings, the business received.
(b) The business exchanged the Kenya shillings calculated in (a) above, into sterling Pounds to buy a car from Britain. Calculate the cost of the car to the nearest Sterling pound.
Date posted:
August 15, 2019
.
Answers (1)
-
The G.C.D of two numbers is 36 and their L.C.M. is 1260. If one of the numbers is 252,find the other number.
(Solved)
The G.C.D of two numbers is 36 and their L.C.M. is 1260. If one of the numbers is 252,find the other number.
Date posted:
August 15, 2019
.
Answers (1)
-
Twenty women working 12 hours a day take 12 days to complete a job. How many more days will it take eight women working 20...
(Solved)
Twenty women working 12 hours a day take 12 days to complete a job. How many more days will it take eight women working 20 hrs a day to complete the same job ?
Date posted:
August 15, 2019
.
Answers (1)
-
Solve the inequalities and represnt the solution on number line. 3x – 9 < 5x + 3= 2x – 6
(Solved)
Solve the inequalities and represnt the solution on number line. 3x – 9 < 5x + 3≤ 2x – 6
Date posted:
August 15, 2019
.
Answers (1)
-
B(2, 5) is a point on the circumference of a circle whose equation is 2x2 + 2y2 – 4x – 8y = 10.Find the equation...
(Solved)
B(2, 5) is a point on the circumference of a circle whose equation is 2x2 + 2y2 – 4x – 8y = 10.Find the equation of the tangent to the circle at point B.
Date posted:
August 15, 2019
.
Answers (1)
-
Okisai is three times as old as his son now. If ten years ago the sun of their ages was 44. How Old was Okisai...
(Solved)
Okisai is three times as old as his son now. If ten years ago the sun of their ages was 44. How Old was Okisai when his son was born ?
Date posted:
August 15, 2019
.
Answers (1)
-
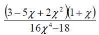
Simplify the expression below.
(Solved)
Simplify the expression below.

Date posted:
August 15, 2019
.
Answers (1)
-
Atyang bought 3 blouses and 2 skirts for a total of Ksh.500. Awino bought 4 blouses and 5 skirts for a total of Ksh.900. Find...
(Solved)
Atyang bought 3 blouses and 2 skirts for a total of Ksh.500. Awino bought 4 blouses and 5 skirts for a total of Ksh.900. Find the cost of 1 blouse and 3 skirts.
Date posted:
August 15, 2019
.
Answers (1)
-
Without using mathematical tables or calculators evaluate.
(Solved)
Without using mathematical tables or calculators evaluate.

Date posted:
August 15, 2019
.
Answers (1)
-
Use reciprocal tables to find the value of
(Solved)
Use reciprocal tables to find the value of

Date posted:
August 15, 2019
.
Answers (1)
-
The figure below shows a wedge in which PQR and UXY are congruent right angled triangles. PQ = 8cm, QR = 5cm and RY =...
(Solved)
The figure below shows a wedge in which PQR and UXY are congruent right angled triangles. PQ = 8cm, QR = 5cm and RY = 12cm.

(a) Calculate:
(i) the length of RU.
(ii) the angle the line RU makes with the plane PQVU.
(b) Find the angle between:-
(i) line PY and the plane QRYV.
(ii) the planes PQVU and PRYU.
Date posted:
August 15, 2019
.
Answers (1)
-
In the figure below, PQRSTU is a regular hexagon.
(a) Describe fully:
(i) a reflection that maps triangle SCR onto triangle STC.
(ii) an enlargement that maps...
(Solved)
In the figure below, PQRSTU is a regular hexagon.

(a) Describe fully:
(i) a reflection that maps triangle SCR onto triangle STC.
(ii) an enlargement that maps triangle SCR on triangle PCU.
(iii) a rotation that maps triangle SCR to triangle TCU.
(b) The triangle PQC is reflected on the line RU. The image of triangle PQC under the reflection is then
rotated through an angle -120º about point C. Determine the images of P and Q:
(i) under the reflection.
(ii) after the two successive transformations.
Date posted:
August 15, 2019
.
Answers (1)
-
Nairobi and Eldoret are each 250km from Nakuru. At 8.15a.m, a lorry leaves Nakuru for Nairobi.
At 9.30am, a car leaves Eldoret for Nairobi via Nakuru...
(Solved)
Nairobi and Eldoret are each 250km from Nakuru. At 8.15a.m, a lorry leaves Nakuru for Nairobi.
At 9.30am, a car leaves Eldoret for Nairobi via Nakuru at a speed of 100km/h. Both vehicles arrived
Nairobi at the same time.
(a) Calculate their time of arrival in Nairobi.
(b) Find the cars speed relative to that of the lorry.
(c) How far apart are the vehicles at 12.45pm.
Date posted:
August 15, 2019
.
Answers (1)
-
If the expression 25y² - 70y + (16 + K) is a perfect square; where K is a constant;find the value of K.
(Solved)
If the expression 25y² - 70y + (16 + K) is a perfect square; where K is a constant;find the value of K.
Date posted:
August 15, 2019
.
Answers (1)
-
Simplify the expression completely:
(Solved)
Simplify the expression completely:

Date posted:
August 15, 2019
.
Answers (1)
-
Use the quadratic formula to solve the equation 2x² - 9x + 3 = 0 giving your answer to 4 significant figures.
(Solved)
Use the quadratic formula to solve the equation 2x² - 9x + 3 = 0 giving your answer to 4 significant figures.
Date posted:
August 15, 2019
.
Answers (1)
-
The diagram below represents a model of a pillar. The radii of the top and the base are 7cm and 3.5cm respectively. The height of...
(Solved)
The diagram below represents a model of a pillar. The radii of the top and the base are 7cm and 3.5cm respectively. The height of the cylindrical part is 10cm while the height of the whole pillar is 15cm.

(a) Calculate the volume of the model in cm³.
(b) Calculate the mass of the material used to construct the pillar given that the actual height of the
whole pillar is 60m and the density of the material used is 0.832g/cm³. (Give your answer in tones).
Date posted:
August 15, 2019
.
Answers (1)
-
The capacity of two similar rectangular tanks are 1,000,000 litres and 512,000 litres respectively.
(a) Determine the length of the larger tank if the smaller one...
(Solved)
The capacity of two similar rectangular tanks are 1,000,000 litres and 512,000 litres respectively.
(a) Determine the length of the larger tank if the smaller one is 240cm long.
(b) Calculate the surface area of the smaller tank if the larger tank’s surface area is 1875m².
(c) Estimate the mass of the smaller tank if the mass of the larger one is 800kg.
Date posted:
August 15, 2019
.
Answers (1)
-
A is a reflex angle and tan A =7/24.Determine the value of Cos A without using the Mathematical table or calculator.
(Solved)
A is a reflex angle and tan A =7/24.Determine the value of Cos A without using the Mathematical table or calculator.
Date posted:
August 15, 2019
.
Answers (1)