-
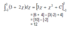
Simplify without using tables
(Solved)
Simplify without using tables

Date posted:
August 19, 2019
.
Answers (1)
-
The curved surface area of a cylindrical container is 1980 cm².
(Solved)
The curved surface area of a cylindrical container is 1980 cm². If the radius of the container is 21cm,
calculate to one decimal place the capacity of the container in litres
Date posted:
August 19, 2019
.
Answers (1)
-
In a class there are thrice as many boys as girls a third of the boys are from poor families while a fifth of the...
(Solved)
In a class there are thrice as many boys as girls a third of the boys are from poor families while a fifth of the girls are from rich families. Find the percentage number of pupils from rich families in the class.
Date posted:
August 19, 2019
.
Answers (1)
-
Fifteen men working eight hours a day can complete a certain job in exactly 24 days.
(Solved)
Fifteen men working eight hours a day can complete a certain job in exactly 24 days. For how many hours a day must sixteen men work in order to complete the same job in exactly 20 days.
Date posted:
August 19, 2019
.
Answers (1)
-
Line L1 passes through the points (1, -2) and (3, -4).
(Solved)
Line L1 passes through the points (1, -2) and (3, -4). Find the equation of line L2 which is a perpendicular bisector of L1 leaving the answer in the form ax + by + c = 0.
Date posted:
August 19, 2019
.
Answers (1)
-
A man sets out at 8.00 a.m for a 30 km journey. His average s peed at 5km/hr for the journey but rests for ten...
(Solved)
A man sets out at 8.00 a.m for a 30 km journey. His average s peed at 5km/hr for the journey but rests for ten minutes after each hour at the walking. He rests for half an hour at the destination and returns on a bicycle at 20km/hr non-stop. At what time does the man arrive home again?
Date posted:
August 19, 2019
.
Answers (1)
-
Electricity bill comprises of a meter rent charge of sh. 250 , a fixed charge of sh. 130, a charge of sh.1.50 per unit and...
(Solved)
Electricity bill comprises of a meter rent charge of sh. 250 , a fixed charge of sh. 130, a charge of sh. 1.50 per unit and a fuel cost of charge of 5% of the total charges. Mr, Chirchir a domestic customer of the Kenya power and lighting Co. Ltd consumed 898 units in a certain month. Find the monthly bill in Ksh. of Mr. Chirchir that month.
Date posted:
August 19, 2019
.
Answers (1)
-
Use logarithms tables to evaluate
(Solved)
Use logarithms tables to evaluate

Date posted:
August 19, 2019
.
Answers (1)
-
A rectangular tank whose length is 50 cm and width 30cm contains 36 litres of water.
a) Determine the height of water in the tank.
b)...
(Solved)
A rectangular tank whose length is 50 cm and width 30cm contains 36 litres of water.
a) Determine the height of water in the tank.
b) A heavy rectangle block has a length which is 5cm more than the width and a height of 5cm. If the width of the block is x cm, write down an expression for the volume of the block
c) The block is placed in the tank and the water level rises by 1cm. Determine the width and length of the block.
d) Determine the mass of the block given that its density is 1400kg/m3
Date posted:
August 19, 2019
.
Answers (1)
-
Use tables of cubes, square roots and reciprocals to evaluate.
(Solved)
Use tables of cubes, square roots and reciprocals to evaluate.

Date posted:
August 19, 2019
.
Answers (1)
-
Three similar 21 inch television sets and five similar 17 inch television cost Ksh.129,250.
(Solved)
Three similar 21 inch television sets and five similar 17 inch television cost Ksh.129,250. The difference between the cost of two 21 inch television sets and four 17 inch television sets is Ksh.22,000. Calculate the price of a 21- inch television set and that of 17-inch television set.
Date posted:
August 19, 2019
.
Answers (1)
-
In the figure below PQRS is a cyclic quadrilateral. Given that TPX is a tangent at P and O is the centre of the circle....
(Solved)
In the figure below PQRS is a cyclic quadrilateral. Given that TPX is a tangent at P and O is the centre of the circle. RQX is a straight line with angle RPQ = 500, and angle PRS = 250.

Giving reasons in each case, find:
a) Angle PRQ
b) Angle PSR.
c) Angle PXQ
d) Angle TPS
e) Angle POS
Date posted:
August 19, 2019
.
Answers (1)
-
A cinema theatre has 200 seats. Tickets prices are Ksh 500 for adult and Ksh 250 for a child.
a) One evening 80% of the seats...
(Solved)
A cinema theatre has 200 seats. Tickets prices are Ksh 500 for adult and Ksh 250 for a child.
a) One evening 80% of the seats in the cinema are occupied. Twenty of the people present are children. Calculate the total amount of money obtained from the sale of tickets that evening.
b) On another evening x children are present and all the seat are occupied. If the money obtained from the sale of tickets is Ksh 90500. Calculate the value of x.
c) The money obtained from sale of tickets in a given week is used to pay for maintenance and expenses. The balance is the profit for the week. If the ratio of profit to expenses is 3:4 and that of expenses to maintenance is 5:6 and given that Kshs. 1062000 was collected in a given week, calculate the profit for the week.
Date posted:
August 19, 2019
.
Answers (1)
-
After how long will a certain amount of money deposited at 12% p.a and compounded semi-annually take to double itself?
(Solved)
After how long will a certain amount of money deposited at 12% p.a and compounded semi-annually take to double itself?
Date posted:
August 19, 2019
.
Answers (1)
-
The three sides of a right angled triangle are (x-1), (2x+8) and the hypotenuse (3x+1), find the dimensions of the triangle.
(Solved)
The three sides of a right angled triangle are (x-1), (2x+8) and the hypotenuse (3x+1), find the dimensions of the triangle.
Date posted:
August 19, 2019
.
Answers (1)
-
Under a transformation matrix given below,a figure area 10cm2 is mapped onto a figure with an area of 20cm2. Find the matrix.
(Solved)
Under a transformation matrix given below,a figure area 10cm2 is mapped onto a figure with an area of 20cm2. Find the matrix.

Date posted:
August 19, 2019
.
Answers (1)
-
In the figure below, O is the centre of circle. Angle BCA=800 and angle CBO = 100. Determine the size of angle CAB.
(Solved)
In the figure below, O is the centre of circle. Angle BCA=800 and angle CBO = 100. Determine the size of angle CAB.

Date posted:
August 19, 2019
.
Answers (1)
-
Given that the area of the trapezium ABCD is 30.8cm2, find the length of AD.
(Solved)
Given that the area of the trapezium ABCD is 30.8cm2, find the length of AD.

Date posted:
August 19, 2019
.
Answers (1)
-
The image of a point Q(1,2) after a translation is Q1(-1,2). What is the coordinate of the point R whose image is R1(-3,-3) after undergoing...
(Solved)
The image of a point Q(1,2) after a translation is Q1(-1,2). What is the coordinate of the point R whose image is R1(-3,-3) after undergoing the same translation.
Date posted:
August 19, 2019
.
Answers (1)
-
32 girls and 52 boys were on an overseas learning trip, and they were divided into as many groups as possible where the number of...
(Solved)
32 girls and 52 boys were on an overseas learning trip, and they were divided into as many groups as possible where the number of groups of girls and the number of groups of boys are the same. How many girls and how many boys are there in each group?
Date posted:
August 19, 2019
.
Answers (1)