-
Without using a calculator or mathematical table evaluate:
(Solved)
Without using a calculator or mathematical table evaluate:

Date posted:
August 19, 2019
.
Answers (1)
-
Without using mathematical tables or calculators, evaluate:
(Solved)
Without using mathematical tables or calculators, evaluate:

Date posted:
August 19, 2019
.
Answers (1)
-
A theatre has a seating capacity of 250 people. The charges are Kshs. 100 for an ordinary seat and Kshs. 160 for a special seat.
(Solved)
A theatre has a seating capacity of 250 people. The charges are Kshs. 100 for an ordinary seat and Kshs. 160 for a special seat. It costs Kshs. 16,000 to stage a show and the theatre must make a profit. There are never more than 200 ordinary seats and for a show to take place at least 50 ordinary seats must be occupied. The number of special seats is always less than twice the number of ordinary seats. Taking x to be the number of ordinary seats and y the number of special seats:-
(a) Write down all the inequalities representing the above information.
(b) On the grid provided, draw the graph to show the inequalities.
(c) Determine the number of seats each type that should be booked in order to maximize the profit.
(d) Determine the maximum profits.
Date posted:
August 19, 2019
.
Answers (1)
-
A curve is represented by the function below.
(Solved)
A curve is represented by the function below

(a) Find 
(b) Determine the values of y at the turning points of the curve 
(c) In the space provide below sketch the curve in (b) above.
Date posted:
August 19, 2019
.
Answers (1)
-
Onyango and Juma live 200km apart. One day, Onyango left his house at 7.00am
(Solved)
Onyango and Juma live 200km apart. One day, Onyango left his house at 7.00am and travelled toward’s Juma’s house at an average speed of 30km/hr. Juma left his house at 7.30am on the same day and travelled towards Onyango’s at an average speed of 40km/hr.
(a) Determine:-
(i) The time they met.
(ii) The distance from Onyango’s house where the two met.
(iii) How far was Onyango from Juma’s house when they met?
(b) The two took 15 minutes at the meeting point and then travelled to Juma’s house at an average speed of 20km/hr. Find the time he arrived at Juma’s house.
Date posted:
August 19, 2019
.
Answers (1)
-
A ship B is on bearing of 0800 from port A and at a distance of 95km.
(Solved)
A ship B is on bearing of 0800 from port A and at a distance of 95km. Another ship is stationed at port D which is on a bearing of 2000 from A and a distance of 124km from B. A ship leaves B and moves directly to island P which is on a bearing of 1400 from A.
(a) Using a scale of 1cm to represent 10km, make a scale drawing to show the relative positions of A, B, D and P.
(b) Hence find:-
(i) The distance from A to D.
(ii) The bearing of D from B.
(iii) The bearing of P from D.
(iv) The distance from P to D.
Date posted:
August 19, 2019
.
Answers (1)
-
Two rectangles A and B each has an area of 240m2. the length of rectangle A is y m and the length of rectangle B...
(Solved)
Two rectangles A and B each has an area of 240m2. The length of rectangle A is y m and the length of rectangle B is 4 m longer.
(a) Write down the expression for width in terms of y for
(i)Rectangle A.
(ii) Rectangle B
(b) The widths of the rectangle differ by 3. form an equation in y duly simplified.
(c) Solve the equation in (b) above and hence find the difference between the perimeters of the rectangles.
Date posted:
August 19, 2019
.
Answers (1)
-
Using a ruler and a pair of compasses only, construct a triangle ABC such that AB=6cm; BC= 7cm and ?ABC = 76½o. Locate the region...
(Solved)
Using a ruler and a pair of compasses only, construct a triangle ABC such that AB=6cm; BC= 7cm and ∠ABC = 76½o. Locate the region covered by the locus R, such that:
(a) AR ≥ ‘BR’
(b) ∠CAR ≤ ∠BAR
(c) AR ≤ 4.5cm
Date posted:
August 19, 2019
.
Answers (1)
-
Five members of ‘SILK’, a self supporting enterprise Jane, Jepchoge, Esther, Mama Charo and Chepkoech were given a certain amount of money to share amongst...
(Solved)
Five members of ‘SILK’, a self supporting enterprise Jane, Jepchoge, Esther, Mama Charo and Chepkoech were given a certain amount of money to share amongst themselves. Jane got 3/8 of the total amount while Jepchoge got 2/5 of the remainder. The remaining amount was shared equally among Esther, Mama Charo and Chepkoech each of which received Kshs. 6,000;
(a) How much was shared among the five business women?
(b) How much did Jepchoge get?
(c) Jane, Jepchoge and Chepkoech invested their money and earned a profit of Kshs. 12,000. A third of the profit was left to maintain the business and the rest was shared according to their investments. Find how much each got.
Date posted:
August 19, 2019
.
Answers (1)
-
Msamaria bus leaves Butere for Nairobi at 7.00 am at an average speed of 80Km/h. Kukhu bus leaves Nairobi towards Butere at 7.30 am on...
(Solved)
Msamaria bus leaves Butere for Nairobi at 7.00 am at an average speed of 80Km/h. Kukhu bus leaves Nairobi towards Butere at 7.30 am on the same day at an average speed of 60km/h. the distance from Nairobi to butere is 450km. after traveling for one and half hours; Kukhu bus developed a mechanical problem which took 45 minutes to repair before continuing at its speed in the same direction.
(a) Determine the time when the two buses met.
(b) Calculate the distance from Nairobi at the time of the two buses meeting.
(c) For how long did the Msamaria bus stay in Nairobi before Kukhu bus arrving at Butere.
Date posted:
August 19, 2019
.
Answers (1)
-
A school requires to transport 800 bags of cement from Athi river Portland to butere 500km away. The school can not opt to use a...
(Solved)
A school requires to transport 800 bags of cement from Athi river Portland to butere 500km away. The school can not opt to use a container freight charging shs 3000 for every 25km or pay shs 50 per bag using a lorry to Butere: Which option is cheaper and by how much.
Date posted:
August 19, 2019
.
Answers (1)
-
Atieno started a business with a capital of shs. 12,000. Jane joined her after 4 months with a capital of shs. 10,000. Awinja joined them...
(Solved)
Atieno started a business with a capital of shs. 12,000. Jane joined her after 4 months with a capital of shs. 10,000. Awinja joined them after 10 months with a capital of shs. 8,000. if they made a profit of shs. 16,500 at the end of 15 months; find the share of Jane if they shared all the profit in the ratio of their capital and time in business.
Date posted:
August 19, 2019
.
Answers (1)
-
Below is a triangular Prism ABCDEF. A tight string stretches from F to D through R on BC.By drawing accurate net of the solid determine...
(Solved)
Below is a triangular Prism ABCDEF. A tight string stretches from F to D through R on BC.By drawing accurate net of the solid determine the shortest possible length of the string.

Date posted:
August 19, 2019
.
Answers (1)
-
A metallic sphere is immersed in water in a cylindrical container. This causes a rise in the level of water by 7.5cm if the cylinder...
(Solved)
A metallic sphere is immersed in water in a cylindrical container. This causes a rise in the level of water by 7.5cm if the cylinder has a base radius of 7cm. Find the radius of the sphere to 2 d.p
Date posted:
August 19, 2019
.
Answers (1)
-
Find the greatest integral value of x which satisfies.
(Solved)
Find the greatest integral value of x which satisfies.

Date posted:
August 19, 2019
.
Answers (1)
-
A salesman gets commission of 2% on sales upto shs. 100,000. He gets additional commission of 1½ % on sales above this. He sold goods...
(Solved)
A salesman gets commission of 2% on sales up to shs. 100,000. He gets additional commission of 1½ % on sales above this. He sold goods and allowed a discount of 2%. If he received a commission of Sh. 5792 calculate the sales made.
Date posted:
August 19, 2019
.
Answers (1)
-
A parallelogram ABCD has the coordinates A (3,-2) B (2,3) and C ( -4,-2). Using vector method find the co-ordinates of point D.
(Solved)
A parallelogram ABCD has the coordinates A (3,-2) B (2,3) and C ( -4,-2). Using vector method find the co-ordinates of point D.
Date posted:
August 19, 2019
.
Answers (1)
-
Solve for x in the following without using a calculator or mathematical tables.
9x( 27(x-1)) = tan 30o
(Solved)
Solve for x in the following without using a calculator or mathematical tables.
9x( 27(x-1)) = tan 30o
Date posted:
August 19, 2019
.
Answers (1)
-
An aircraft takes off from airport A ( 30oS, 45oE) at 11.30 am at a speed of 60 knots to another airport B ( 30oS,...
(Solved)
An aircraft takes off from airport A ( 30oS, 45oE) at 11.30 am at a speed of 60 knots to another airport B ( 30oS, 30oE). Calculate the time the aircraft arrived at B.
Date posted:
August 19, 2019
.
Answers (1)
-
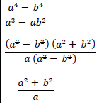
Simplify completely:
(Solved)
Simplify completely:

Date posted:
August 19, 2019
.
Answers (1)