-
A bus left town x at 10:45 am and traveled towards town Y at an average speed of 60 km/hr.
(Solved)
A bus left town x at 10:45 am and traveled towards town Y at an average speed of 60 km/hr. A car left town X at 11:15am on the same day and traveled along the same road at an average speed of 100 km/hr. The distance between town X and town Y is 500 km.
(i) Determine the time of day when the car overtook the bus.
(ii) Both vehicles continued towards town Y at their original speeds. Find how long the car had to wait in town Y before the bus arrived.
Date posted:
August 19, 2019
.
Answers (1)
-
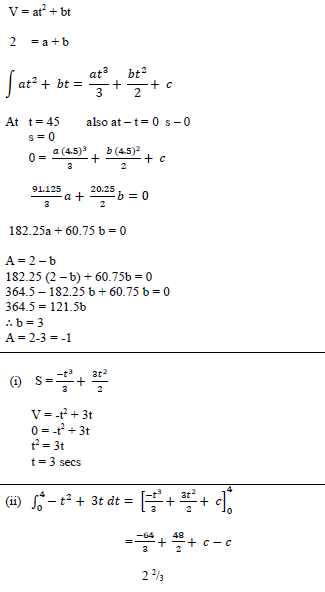
The figure shows a velocity time graph of an object which accelerates from rest to a velocity Vm/s then decelerates to rest in a total...
(Solved)
The figure shows a velocity time graph of an object which accelerates from rest to a velocity Vm/s then decelerates to rest in a total time of 54 seconds. If the whole journey is 810 m,

(i) Find the value of V.
(ii) Find the deceleration given the initial acceleration is 1 2/3 m/s2.
Date posted:
August 19, 2019
.
Answers (1)
-
Eunice bought some oranges worth Ksh 45, while Sharon spent the same amount of money but bought the oranges at a discount of 75 cents...
(Solved)
Eunice bought some oranges worth Ksh 45, while Sharon spent the same amount of money but bought the oranges at a discount of 75 cents per orange.
(a) If Eunice bought an orange at Sh x, write down a simplified expression for the total number of oranges bought by Eunice and Sharon.
(b) If Sharon bought 2 more oranges than Eunice. Find how much each spent on an orange.
(c) Find the total number of oranges bought by Eunice and Sharon.
Date posted:
August 19, 2019
.
Answers (1)
-
Four trucks A, B, C and D take 10 days to transport 42,000 bags of maize to a depot.
(Solved)
Four trucks A, B, C and D take 10 days to transport 42,000 bags of maize to a depot. However, trucks A and B together take 30 days to transport the same number of bags while trucks C and D together take 15 days. Truck A carries 1.5 times the number of bags B carries and C carries 1 and four fifths times as much as D.
(a) Determine the number of bags of maize transported by each truck per day.
(b) All the trucks A, B C and D work together for 5 days, after which truck C and D are withdrawn. A and B work together for another 5 days after which truck A breaks down. How long does truck B take to complete the rest of the remaining bags?
Date posted:
August 19, 2019
.
Answers (1)
-
A frustum with a regular pentagonal base is such that its top is of side 12cm and bottom is of side 24cm.
(Solved)
A frustum with a regular pentagonal base is such that its top is of side 12cm and bottom is of side 24cm. If its perpendicular height is 20cm. Calculate:
(a) The length of the slant edge.
(b) The volume of the frustum
Date posted:
August 19, 2019
.
Answers (1)
-
Three business partners Kamau, Tatwa and Makau contributed Ksh. 100,000, Ksh.80,000 and ksh. 50,000 respectively to start a business. After one year the business realized...
(Solved)
Three business partners Kamau, Tatwa and Makau contributed Ksh. 100,000, Ksh.80,000 and ksh. 50,000 respectively to start a business. After one year the business realized a profit which they shared in the ratio of their contributions.
(a) If Makau’s share of profit was Kshs.20, 000, how much was the total amount of profit?
(b) At the beginning of the second year, Makau boosted his shares by Ksh. 10,000. If the business
profit increased by 20% at the end of the second year. Calculate;
(i) Kamau’s share of the profit.
(ii) The difference between Kamau’s and Tatwa’s share of the profit.
Date posted:
August 19, 2019
.
Answers (1)
-
Without using mathematical tables or calculator, evaluate:
(Solved)
Without using mathematical tables or calculator, evaluate:

Date posted:
August 19, 2019
.
Answers (1)
-
A pulley is made up of two wheels of radii 6 cm and 9 cm respectively and the distance between their centres is 18 cm.
(Solved)
A pulley is made up of two wheels of radii 6 cm and 9 cm respectively and the distance between their centres is 18 cm.

If a belt passes round the two pulleys, find its length.
Date posted:
August 19, 2019
.
Answers (1)
-
A student expands (x - y)2 incorrectly as x2 + y2.
(Solved)
A student expands (x - y)2 incorrectly as x2 + y2. Find his percentage error if he used this incorrect expansion for x = 4 and y = -5. Give your answer correct to 2 d.p.
Date posted:
August 19, 2019
.
Answers (1)
-
Three police posts are such that Q is on a bearing of 2100 and 12 km from P while R is on a bearing of...
(Solved)
Three police posts are such that Q is on a bearing of 2100 and 12 km from P while R is on a bearing of 1500 and 8 km from P.
(a) Using a suitable scale, draw a diagram to represent the above situation.
(b) From the scale drawing determine:
(i) the bearing of Q from R
(ii) the distance of R from Q
Date posted:
August 19, 2019
.
Answers (1)
-
ABCD is a rhombus. The measure of angle ABC is 1500.
(Solved)
ABCD is a rhombus. The measure of angle ABC is 1500. The diagonals of the rhombus intersect at E. The shorter diagonal measures 10cm. Calculate the length of the sides of the rhombus to the nearest integer hence calculate the area of the rhombus.
Date posted:
August 19, 2019
.
Answers (1)
-
Estimate the area bounded by the curve
(Solved)
Estimate the area bounded by the curve
𝑥=3 𝑎𝑛𝑑 𝑡ℎ𝑒 𝑥−𝑎𝑥𝑖𝑠 using the mid-ordinate rule. Use three strips.
Date posted:
August 19, 2019
.
Answers (1)
-
Evaluate the question below:
(Solved)
Evaluate the question below:

Date posted:
August 19, 2019
.
Answers (1)
-
In the figure below, lines AB and XY are parallel.
(Solved)
In the figure below, lines AB and XY are parallel.

If the area of the shaded region is 36 cm2, find the area of triangle CXY.
Date posted:
August 19, 2019
.
Answers (1)
-
List the integral values of x which satisfy the inequalities below.
2x+21>15-2x=x+6
(Solved)
List the integral values of x which satisfy the inequalities below.
2x+21>15-2x≥x+6
Date posted:
August 19, 2019
.
Answers (1)
-
Makau and Kilonzo live 20km apart. Makau leaves home at 10:00 am and walks to meet Kilonzo who started walking at 9:30 am to meet...
(Solved)
Makau and Kilonzo live 20km apart. Makau leaves home at 10:00 am and walks to meet Kilonzo who started walking at 9:30 am to meet Makau. The speed of Makau and Kilonzo are in the ratio of 3:4. If they met at 11:30 am find their speeds.
Date posted:
August 19, 2019
.
Answers (1)
-
John bought two shirts and three pairs of trousers at Ksh. 1750. If had bought three shirts and two pairs of trousers, he would have...
(Solved)
John bought two shirts and three pairs of trousers at Ksh. 1750. If had bought three shirts and two pairs of trousers, he would have saved Ksh.250. Find the cost of a shirt and a trouser.
Date posted:
August 19, 2019
.
Answers (1)
-
Simplify the expression below
(Solved)
Simplify the expression below

Date posted:
August 19, 2019
.
Answers (1)
-
Find the sum of the smallest and the largest value of ??.
(Solved)
Given that
and that 𝑥 is an integer, find the sum of the smallest and the largest value of 𝑥.
Date posted:
August 19, 2019
.
Answers (1)
-
Without using mathematical tables or calculator evaluate.
(Solved)
Without using mathematical tables or calculator evaluate.

Date posted:
August 19, 2019
.
Answers (1)