-
Solve for x in the equation:
(Solved)
Solve for x in the equation:
27x-1 x 3x+1= 243
Date posted:
August 20, 2019
.
Answers (1)
-
A number of people working at a factory decided to raise sh. 72,000 towards a famine relief. Each person was to contribute the same amount....
(Solved)
A number of people working at a factory decided to raise sh. 72,000 towards a famine relief. Each person was to contribute the same amount. Before the contributions were collected, five of the people retired from working at the factory. This means that the remaining contributors had to pay more to meet the same target.
(a) Taking ‘n’ as the number of people working in the factory originally, write down an expression for the increase in the contribution per person.
(b) If the increase in the contribution per person was sh. 1200, find the number of people originally.
(c) How much would each person have contributed to the nearest shilling if the five had not retired?
(d) Calculate the percentage increase in the contribution per person caused by retirements giving your answer to the nearest hundredth.
Date posted:
August 20, 2019
.
Answers (1)
-
Using a ruler and a pair of compasses only, construct a triangle ABC such that AB = 6.3cm, BC = 4.5cm and angle ABC =...
(Solved)
Using a ruler and a pair of compasses only, construct a triangle ABC such that AB = 6.3cm, BC = 4.5cm and angle ABC = 120o. Measure line AC.
Date posted:
August 20, 2019
.
Answers (1)
-
Two grades of tea costing sh. 120 and sh. 150 per kilogram are mixed. In what ratio should the two grades be mixed in order...
(Solved)
Two grades of tea costing sh. 120 and sh. 150 per kilogram are mixed. In what ratio should the two grades be mixed in order to produce a mixture that costs sh. 144 per kilogram?
Date posted:
August 20, 2019
.
Answers (1)
-
Three towns A, B and C are situated so that AB = 65 km and AC = 115 km. The bearing of B from A...
(Solved)
Three towns A, B and C are situated so that AB = 65 km and AC = 115 km. The bearing of B from A is 062o and the bearing of C from A is 278o.Calculate.
a) The distance BC
b) The bearing of B from C
Date posted:
August 20, 2019
.
Answers (1)
-
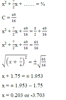
Solve the following quadratic equations by completing the square method.
3x2 – 7x – 5 = 0
(Solved)
Solve the following quadratic equations by completing the square method.
3x2 – 7x – 5 = 0
Date posted:
August 20, 2019
.
Answers (1)
-
Use tables of cubes, square roots and reciprocals to evaluate to 4 s.f.
(Solved)
Use tables of cubes, square roots and reciprocals to evaluate to 4 s.f.

Date posted:
August 20, 2019
.
Answers (1)
-
The sum of the digits of a two digit number is 11. If the digits are interchanged the value of the number decreases by 63....
(Solved)
The sum of the digits of a two digit number is 11. If the digits are interchanged the value of the number decreases by 63. What is the number?
Date posted:
August 20, 2019
.
Answers (1)
-
The marked price of a pair of shoes is Sh. 2400. A customer buys the shoes and is offered a 10% discount and the seller...
(Solved)
The marked price of a pair of shoes is Sh. 2400. A customer buys the shoes and is offered a 10% discount and the seller still makes a profit of 20% on the cost of the shoes. Determine the cost price.
Date posted:
August 20, 2019
.
Answers (1)
-
Evaluate the following:
(Solved)
Evaluate the following:

Date posted:
August 20, 2019
.
Answers (1)
-
The figure below shows a uniform cross-section of a swimming pool which is 4m wide. The depth of the pool increase gently from 1.5m to...
(Solved)
The figure below shows a uniform cross-section of a swimming pool which is 4m wide. The depth of the pool increase gently from 1.5m to 3.0m.

a) How much water in litres does it hold when full?
b) Calculate total internal surface area of the pool.
c) Find the angle at which the bottom of the pool inclines to the horizontal.
Date posted:
August 20, 2019
.
Answers (1)
-
The diagram which is not drawn to scale, shows an isosceles triangle XYZ in which XY=YZ. The coordinates of x and y are (5,6) and...
(Solved)
The diagram which is not drawn to scale, shows an isosceles triangle XYZ in which XY=YZ. The coordinates of x and y are (5,6) and (0, -4) respectively.

Given that the equation of line YZ is y=3/4x – 4 and that the perpendicular from X to YZ meet YZ at D,
find.
(i) The equation of XD
(ii) The coordinate of D
(iii) The coordinates of Z
(iv) The area of triangle XYZ
Date posted:
August 20, 2019
.
Answers (1)
-
Two airports are such that B is 500km due East of A. Two planes P and Q take off from A and B respectively and...
(Solved)
Two airports are such that B is 500km due East of A. Two planes P and Q take off from A and B respectively and at the same time. Place P flies at 360km/h on a bearing of 030o. Plane Q flies at 240km/h on a bearing of 315o. The two planes land after 90 minutes. Using a scale of 1:10,000,000:
a) Show the positions of the planes after 90 minutes.
b) Find the distance between the planes after 90 minutes.
c) Find:
(i) The bearing of plane P from plane Q after 90 minutes.
(ii) The bearing of plane Q from plane P after 90 minutes
Date posted:
August 20, 2019
.
Answers (1)
-
Mr. Biwott operates two passenger service vehicles along Nakuru- Eldoret route. One is a 16 seater Matatu and the other is 8-seater van. Each vehicle...
(Solved)
Mr. Biwott operates two passenger service vehicles along Nakuru- Eldoret route. One is a 16 seater Matatu and the other is 8-seater van. Each vehicle makes one route trip per day and the charges are ksh 250 and ksh 300 per passenger respectively (one way). The matatu uses diesel which costs ksh.48 per litre and the van uses regular petrol which costs ksh.52 per litre. The fuel consumption of the two vehicles is in the ratio of 4:3 respectively.
a) If the matatu uses 80 litres for the round trip, determine the fuel consumption of the van for the round trip.
b) Calculate the daily collection for each vehicle.
c) Determine which vehicle is more profitable (on daily basis) and by how much.
d) If the price of both types of fuel goes up by 20% determine the percentage change in daily collection.
Date posted:
August 20, 2019
.
Answers (1)
-
The L.C.M of 15, 18 and a third number is 1260. Find the square of third number.
(Solved)
The L.C.M of 15, 18 and a third number is 1260. Find the square of third number.
Date posted:
August 20, 2019
.
Answers (1)
-
Solve the following simultaneous equations.
Log2(4y + x) = 3
Log3(4x + y) = 2
(Solved)
Solve the following simultaneous equations.
Log2(4y + x) = 3
Log3(4x + y) = 2
Date posted:
August 20, 2019
.
Answers (1)
-
The mean age of 4 girls is 15 years. The first and second are aged 13 years and 18 years respectively.
The third girl is 3...
(Solved)
The mean age of 4 girls is 15 years. The first and second are aged 13 years and 18 years respectively.
The third girl is 3 years older than the first girl. Find the modal age.
Date posted:
August 20, 2019
.
Answers (1)
-
Obenda weighed 120kg before he was taken ill of HIV/AIDs. After sometimes his weight decreased by 10% every week for 5 weeks. He was put...
(Solved)
Obenda weighed 120kg before he was taken ill of HIV/AIDs. After sometimes his weight decreased by 10% every week for 5 weeks. He was put on ARVs and his weight increased by 5% every week for 3 weeks. What is his weight at the end of eighth week?
Date posted:
August 20, 2019
.
Answers (1)
-
Tap A takes one hour to fill a tank with water. If tap B takes y hours to remove the same water and both taps...
(Solved)
Tap A takes one hour to fill a tank with water. If tap B takes y hours to remove the same water and both taps takes 1 ½ hours to fill the tank, find the value of y.
Date posted:
August 20, 2019
.
Answers (1)
-
The position vector of points A and B relative to the origin O are a and b respectively. Given that a = 4i + 3j...
(Solved)
The position vector of points A and B relative to the origin O are a and b respectively. Given that a = 4i + 3j and b = i + 2j, find the modulus of the vector a + b
Date posted:
August 20, 2019
.
Answers (1)