-
Make h the subject of the formula in the following equation.
(Solved)
Make h the subject of the formula in the following equation.

Date posted:
August 23, 2019
.
Answers (1)
-
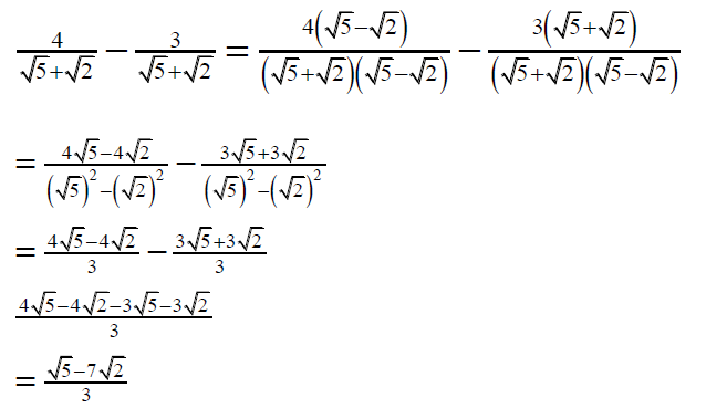
Without using tables or calculators, evaluate
(Solved)
Without using tables or calculators, evaluate

Date posted:
August 23, 2019
.
Answers (1)
-
The figure below represents the cross-section of a metal structure used in constructionwork. The structure is 15 metres long and all dimensions in the figure...
(Solved)
The figure below represents the cross-section of a metal structure used in construction work. The structure is 15 metres long and all dimensions in the figure are given in centimeters. The structure is made of metal whose density in 2.4g/cm3

Calculate:
a) the total surface area of the structure in square meters.
b) the volume of the structure
c) the mass of the structure in kilograms
Date posted:
August 23, 2019
.
Answers (1)
-
Without using a set square or a protractor construct: a) Triangle ABC such that AB = 8cm, BC = 6cm and
(Solved)
Without using a set square or a protractor construct:
a) Triangle ABC such that AB = 8cm, BC = 6cm and angle ABC= 300
b) Measure the length AC
c) Draw a circle that touches sides AB, BC and AC
d) Measure the radius of the circle.
e) Hence or otherwise calculate the area in the triangle but not in the circle.
Date posted:
August 23, 2019
.
Answers (1)
-
Calculate the value of x in the equation given below.
32x – 10(3x) + 9 = 0
(Solved)
Calculate the value of x in the equation given below.
32x – 10(3x) + 9 = 0
Date posted:
August 23, 2019
.
Answers (1)
-
A boat travels West at a speed of 240 knots from point (150N, 150E). Calculate its Position after 5 hours.
(Solved)
A boat travels West at a speed of 240 knots from point (150N, 150E). Calculate its Position after 5 hours.
Date posted:
August 23, 2019
.
Answers (1)
-
In the figure below, AC is an arc of a circle centre D. Angle ADC = 600, AD = DC = 7cmand CB = 5cm.
(Solved)
In the figure below, AC is an arc of a circle centre D. Angle ADC = 600, AD = DC = 7cm and
CB = 5cm.

Calculate:
a) The area of triangle ADB
b) The area of the shaded region.
Date posted:
August 23, 2019
.
Answers (1)
-
Solve the inequalities below and represent the solutions on a single number line.
1 – 2x < 5, 5 – 3x > - 10
(Solved)
Solve the inequalities below and represent the solutions on a single number line.
1 – 2x < 5, 5 – 3x > - 10
Date posted:
August 23, 2019
.
Answers (1)
-
By striding 60cm or by striding 64cm, John takes an exact number of steps to crossa road. Find the least width of the road in...
(Solved)
By striding 60cm or by striding 64cm, John takes an exact number of steps to cross a road. Find the least width of the road in metres.
Date posted:
August 23, 2019
.
Answers (1)
-
Solve the matrix below
(Solved)
Given that matrix
, find matrix B such that A2 = A – B.
Date posted:
August 23, 2019
.
Answers (1)
-
In the circle O is the centre, angle DAB = 870. Arc AB is twice arc AD. Calculate Angle AOB.
(Solved)
In the circle O is the centre, angle DAB = 870. Arc AB is twice arc AD. Calculate Angle AOB.

Date posted:
August 22, 2019
.
Answers (1)
-
Town A is 240km from town B. A car travels at a speed of 60km/h from town A startingat 1000hrs.
(Solved)
Town A is 240km from town B. A car travels at a speed of 60km/h from town A starting at 1000hrs. A cyclist leaves town B at 0900hrs and travels at a steady speed to town A. If they pass each other at 1300hrs, calculate the speed of the cyclist.
Date posted:
August 22, 2019
.
Answers (1)
-
Given that a = 1.2, b = 0.02 and c = 0.2, express ac + b
(Solved)
Given that a = 1.2, b = 0.02 and c = 0.2, express ac + b in the form
where m and n are integers.
Date posted:
August 22, 2019
.
Answers (1)
-
Onchwati deposited Ksh.50,000 in a financial institution in which interest is compounded Quarterly.
(Solved)
Onchwati deposited Ksh.50,000 in a financial institution in which interest is compounded Quarterly. If at the end of the second year he received a total of Ksh.79,692.40. Calculate the rate of interest per annum.
Date posted:
August 22, 2019
.
Answers (1)
-
Solve the equation
(Solved)
Solve the equation

Date posted:
August 22, 2019
.
Answers (1)
-
Use logarithms to evaluate the following correct to 4 decimal places.
(Solved)
Use logarithms to evaluate the following correct to 4 decimal places.

Date posted:
August 22, 2019
.
Answers (1)
-
State two layers of atmosphere which experience Negative Lapse Rate.
(Solved)
State two layers of atmosphere which experience Negative Lapse Rate.
Date posted:
August 22, 2019
.
Answers (1)
-
Two spherical balls of radii 14cm and 7cm are in contact resting on a horizontal floor.
A straight metal bar is placed on top of the...
(Solved)
Two spherical balls of radii 14cm and 7cm are in contact resting on a horizontal floor.
A straight metal bar is placed on top of the balls such that it is in contact with them.
Calculate the angle of inclination of the bar to the horizontal.
Date posted:
August 22, 2019
.
Answers (1)
-
Evaluate the expression below.
(Solved)
Evaluate the expression below.

Date posted:
August 22, 2019
.
Answers (1)
-
Solve for value of x if sin(3x+20) = cos 4x
(Solved)
Solve for value of x if sin(3x+20) = cos 4x
Date posted:
August 22, 2019
.
Answers (1)