-
Given the expression below.Find the product of the possible values of x.
(Solved)
Given the expression below.Find the product of the possible values of x.

Date posted:
August 23, 2019
.
Answers (1)
-
Two trains 246 metres and 304 metres long are traveling towards one another at 114km/ hr and 66km / hr respectively. How long do the...
(Solved)
Two trains 246 metres and 304 metres long are traveling towards one another at 114km/ hr and 66km / hr respectively. How long do the trains take to pass one another?
Date posted:
August 23, 2019
.
Answers (1)
-
The position vectors for points A and B are 2i + 5j + 3k and 4i – 7j + 3k respectively. Express vectors AB in...
(Solved)
The position vectors for points A and B are 2i + 5j + 3k and 4i – 7j + 3k respectively. Express vectors AB in terms of unit vectors i, j and k. Hence find the length of AB leaving your answer in simplified surd form.
Date posted:
August 23, 2019
.
Answers (1)
-
A quantity P is partly constant and partly varies inversely as square of t. P = 6 when t = 6 and p = 18...
(Solved)
A quantity P is partly constant and partly varies inversely as square of t. P = 6 when t = 6 and p = 18 when t = 3. Find t when p = 11
Date posted:
August 23, 2019
.
Answers (1)
-
Determine the quartile deviation of the data
18,15,21,19,17,22,21
(Solved)
Determine the quartile deviation of the data
18,15,21,19,17,22,21
Date posted:
August 23, 2019
.
Answers (1)
-
In calculating the volume of a cone a student had an error of 0.2 % in pi , 1.2 % in the height and 0.4...
(Solved)
In calculating the volume of a cone a student had an error of 0.2 % in pi , 1.2 % in the height and 0.4 % in the radius, calculate the percentage error involved in calculating the volume.
Date posted:
August 23, 2019
.
Answers (1)
-
Given A, B and C are matrices as shown below.Determine matrix D given by D = AC – B and hence its inverse
(Solved)
Given A, B and C are matrices as shown below

Determine matrix D given by D = AC – B and hence its inverse
Date posted:
August 23, 2019
.
Answers (1)
-
Simplify completely the expression
(Solved)
Simplify completely the expression

Date posted:
August 23, 2019
.
Answers (1)
-
In the figure below, O is the centre of the circle. Chord AB and CD intersect at X. CX = 8 cm, XD = 5...
(Solved)
In the figure below, O is the centre of the circle. Chord AB and CD intersect at X. CX = 8 cm, XD = 5 cm and XB = 4cm

Calculate the length of AX, hence find the radius of the circle.
Date posted:
August 23, 2019
.
Answers (1)
-
Make x the subject of the formula
(Solved)
Make x the subject of the formula

Date posted:
August 23, 2019
.
Answers (1)
-
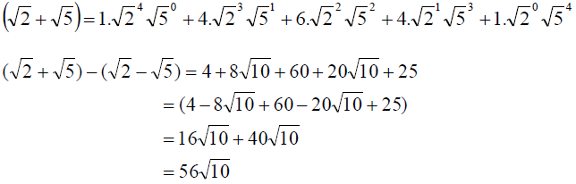
Without using mathematical tables or calculation, evaluate:
(Solved)
Without using mathematical tables or calculation, evaluate:

Date posted:
August 23, 2019
.
Answers (1)
-
Use logarithms to evaluate
(Solved)
Use logarithms to evaluate

Date posted:
August 23, 2019
.
Answers (1)
-
Given that sin (x + 30) = Cos 3x, find the value of tan (x-45) correct to 4 significant figures.
(Solved)
Given that sin (x + 30) = Cos 3x, find the value of tan (x-45) correct to 4 significant figures.
Date posted:
August 23, 2019
.
Answers (1)
-
Water is drawn to fill an empty tank whose capacity is 1200litres using two types of buckets. It requires at least 30 type A buckets...
(Solved)
Water is drawn to fill an empty tank whose capacity is 1200litres using two types of buckets. It requires at least 30 type A buckets and 50 type B buckets to fill the tank. Also, two type A buckets are required to fill at most three type B buckets. Each type B bucket has a capacity of not more than 20litres.
a) Taking x litres and y litres to represent the capacity of each type A bucket and each type B bucket respectively; write down 3 inequalities to represent the above information.
b) Use graphical method to determine the capacity of each type of bucket.
Date posted:
August 23, 2019
.
Answers (1)
-
The figure below represent a kite ABCD, AB = AD = 15cm. The diagonals BD and AC intersect atO. AC = 30cm and AD =...
(Solved)
The figure below represent a kite ABCD, AB = AD = 15cm. The diagonals BD and AC intersect at O. AC = 30cm and AD = 12cm.

Find the area of the kite
Date posted:
August 23, 2019
.
Answers (1)
-
The velocity V metres per second of a particle at time, t seconds is given by the equation below;
V = 2t2 – 4t + 15
b)...
(Solved)
The velocity V metres per second of a particle at time, t seconds is given by the equation below;
V = 2t2 – 4t + 15
a) Complete the table below for values of V and t

b) On the grid provided, draw the graph of V against t.
c) i) Using the mid-ordinate rule with seven ordinates estimate the distance covered by the particle between t = 1 sec and t = 8sec.
ii) Determine the exact distance covered by the particle between t = 1 sec and t = 8 sec
iii) Find the percentage error in the distance covered by the particle when the mid-ordinate rule is used.
Date posted:
August 23, 2019
.
Answers (1)
-
The figure below is a solid in which the base ABCD is a rhombus. AC = 16cm, BD = 12cm and CE = 12cm.
Calculate:-
a) the...
(Solved)
The figure below is a solid in which the base ABCD is a rhombus. AC = 16cm, BD = 12cm and CE = 12cm.

Calculate:-
a) the length of line BC
b) the angle between the planes EBD and ABCD
c) the angle between the planes ECB and ECD
d) the length of line AE
Date posted:
August 23, 2019
.
Answers (1)
-
The table below shows the distribution of wages in a week for a number of employees in a certain factory.
a) Using Kshs. 1049.50 per week...
(Solved)
The table below shows the distribution of wages in a week for a number of employees in a certain factory.

a) Using Kshs. 1049.50 per week as the assumed mean wage, calculate:-
i) the mean for the group wages.
ii) the standard deviation.
b) The week that followed, every employee earned Ksh. 100 as wage increment.Determine:
i) the new mean for the group wage.
ii) the new standard deviation
Date posted:
August 23, 2019
.
Answers (1)
-
In the figure below AB is parallel to DI and FD is parallel to CB. Angle EAJ = 30º and angle EDC = 63º. Find angle...
(Solved)
In the figure below AB is parallel to DI and FD is parallel to CB. Angle EAJ = 30º and angle EDC = 63º. Find angle ACB.

Date posted:
August 23, 2019
.
Answers (1)
-
The positions of two towns on the earth’s surface are A (400S, 450W) and B (400S, 1350E)
a) Calculate;
The difference in distance between two towns A...
(Solved)
The positions of two towns on the earth’s surface are A (400S, 450W) and B (400S, 1350E)
a) Calculate;
The difference in distance between two towns A and B along the parallel of latitude and along the great circle. (in Nm).
b) Two planes X and Y left town A at 8.00am flying at 758 knots each towards town B. If plane X flys along the parallel of latitude and plane Y along the great circle; then determine the position of one of the planes when the other lands at town B.
Date posted:
August 23, 2019
.
Answers (1)