-
A salesman earns a basic salary of sh. 9,000 per month. In addition he is also paid a commission of 5% for sales above sh....
(Solved)
A salesman earns a basic salary of sh. 9,000 per month. In addition he is also paid a commission of 5% for sales above sh. 15,000. In a certain month he sold goods worth sh. 120,000 at a discount of 2½%. Calculate his total earnings that month.
Date posted:
August 26, 2019
.
Answers (1)
-
Expand (1 – 2x)6 in ascending powers of x up to the term in x3
(Solved)
Expand (1 – 2x)6 in ascending powers of x up to the term in x3
Date posted:
August 26, 2019
.
Answers (1)
-
Solve the inequality
and show the solution on the number line.
(Solved)
Solve the inequality
and show the solution on the number line.
Date posted:
August 26, 2019
.
Answers (1)
-
Given that X:Y = 1:2 and Z:Y = 2:3, Find the value of
(Solved)
Given that X:Y = 1:2 and Z:Y = 2:3, Find the value of

Date posted:
August 26, 2019
.
Answers (1)
-
In the diagram below, BT is a tangent to the circle at B. AXCT and BXD are straight lines. AX = 6cm, CT = 8cm,...
(Solved)
In the diagram below, BT is a tangent to the circle at B. AXCT and BXD are straight lines. AX = 6cm, CT = 8cm, BX = 4.8cm and XD = 5cm.

Find the length of BT.
Date posted:
August 26, 2019
.
Answers (1)
-
Make b the subject of the formula a =
(Solved)
Make b the subject of the formula a = 
Date posted:
August 26, 2019
.
Answers (1)
-
Make r the subject of the formula.
(Solved)
Make r the subject of the formula.

Date posted:
August 26, 2019
.
Answers (1)
-
A car is driven a distance of 30 km measured to the nearest Km in 20 min measured to the nearest min. Between what limit...
(Solved)
A car is driven a distance of 30 km measured to the nearest Km in 20 min measured to the nearest min. Between what limit will the average speed be?
Date posted:
August 26, 2019
.
Answers (1)
-
Express in surd form.Hence rationalize the denominator
(Solved)
Express in surd form.Hence rationalize the denominator

Date posted:
August 26, 2019
.
Answers (1)
-
The equation of a circle is 2x2 + 2y2 + 12x – 20y – 4 = 0. Determine the coordinates of the centre of the...
(Solved)
The equation of a circle is 2x2 + 2y2 + 12x – 20y – 4 = 0. Determine the coordinates of the centre of the circle and state its radius.
Date posted:
August 26, 2019
.
Answers (1)
-
Use logarithms to evaluate
(Solved)
Use logarithms to evaluate

Date posted:
August 26, 2019
.
Answers (1)
-
The first and the last terms of an AP are 2 and 59 respectively. If the sum of the series is 610, find the number...
(Solved)
The first and the last terms of an AP are 2 and 59 respectively. If the sum of the series is 610, find the number of terms in the series and the common difference.
Date posted:
August 26, 2019
.
Answers (1)
-
Find the value of x in the following equation.
9x + 32x – 1 = 53
(Solved)
Find the value of x in the following equation.
9x + 32x – 1 = 53
Date posted:
August 26, 2019
.
Answers (1)
-
A line L1 passes through point (1, 2) and has a gradient of 5. Another line L2 is perpendicular to L1and meets it at a...
(Solved)
A line L1 passes through point (1, 2) and has a gradient of 5. Another line L2 is perpendicular to L1 and meets it at a point where x = 4. Find the equation for L2 in the form y = mx + c.
Date posted:
August 26, 2019
.
Answers (1)
-
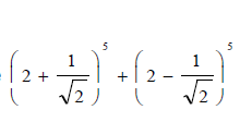
Use binomial expansion to evaluate the following equation:
(Solved)
Use binomial expansion to evaluate the following equation:
Date posted:
August 26, 2019
.
Answers (1)
-
The sides of a rectangle are x cm and (x + 1) cm. A circle has radius of (x + 2) cm.If the sum of...
(Solved)
The sides of a rectangle are x cm and (x + 1) cm. A circle has radius of (x + 2) cm.If the sum of the area of the rectangle and the circle is 184 cm2
Using
as
find the value of x.
Date posted:
August 26, 2019
.
Answers (1)
-
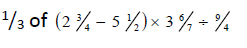
Without using calculators evaluate
(Solved)
Without using calculators evaluate 
Date posted:
August 26, 2019
.
Answers (1)
-
The figure below is a sketch of the curve y= x2-4
(a) Using he trapezoidal rule with six strips estimate the area bounded by the curve,...
(Solved)
The figure below is a sketch of the curve y= x2-4

(a) Using he trapezoidal rule with six strips estimate the area bounded by the curve, the x-axis
and the lines x = -2 and x = 4.
(b) Calculate the area in (a) above by integration.
(c) Assuming the area found by integration is exact, calculate the percentage error in using the trapezoidal rule.
Date posted:
August 26, 2019
.
Answers (1)
-
Two aeroplanes P and Q leave airport at the same time, P flies on a bearing of 0750 at 800 km/h.While Q flies on a...
(Solved)
Two aeroplanes P and Q leave airport at the same time, P flies on a bearing of 0750 at 800 km/h.While Q flies on a bearing of 1500 at 1000 km\h.
(a) Using a scale of 1 cm to represent 100km, draw a diagram to show the positions of the aeroplanes after 45 minutes.
(b) Use your scale drawing to determine
(i) the distance between the two aeroplanes after 45 minutes.
(ii) The bearing of P from Q.
(c) By further construction on the same diagram determine how far Q is to east of P.
Date posted:
August 26, 2019
.
Answers (1)
-
The distance between tours X and Y is 320km. A car and a lorry started from X at the same time
and travelled towards Y. The...
(Solved)
The distance between tours X and Y is 320km. A car and a lorry started from X at the same time
and travelled towards Y. The car travelling at an average speed of 20km/h higher than that of the
lorry reached r 48 minutes earlier than the lorry.
(a) If the speed of the lorry is t km / h , find the value of t.
(b) If the two vehicles left town X at 8. 15 a.m, determine the time the ca arrived at town Y.
Date posted:
August 26, 2019
.
Answers (1)