-
The data below represent the heights taken to the nearest centimeters of 40 lemon trees in a garden.
(Solved)
The data below represent the heights taken to the nearest centimeters of 40 lemon trees in a garden.

a) Complete the table.
b) Using 165.5 as the assumed mean, calculate the mean height.
c) Calculate the standard deviation of the distribution.
Date posted:
August 26, 2019
.
Answers (1)
-
Without using tables, solve the equation.
log10(10x + 5) – log10(x - 4) = 2
(Solved)
Without using tables, solve the equation.
log10(10x + 5) – log10(x - 4) = 2
Date posted:
August 26, 2019
.
Answers (1)
-
Simplify the expression below.
(Solved)
Simplify the expression below.

Date posted:
August 26, 2019
.
Answers (1)
-
A coffee blender mixes 6 parts of type A with 4 parts of type B. type A costs sh. 72 while type B costs sh....
(Solved)
A coffee blender mixes 6 parts of type A with 4 parts of type B. type A costs sh. 72 while type B costs sh. 66 per kg. At what price should he sell the mixture per kg in order to make 5% profit give your answer to the nearest ten cents.
Date posted:
August 26, 2019
.
Answers (1)
-
X, Y and Z are three quantities such that X varies directly as the square of Y and inversely as the square root of Z.
a)...
(Solved)
X, Y and Z are three quantities such that X varies directly as the square of Y and inversely as the square root of Z.
a) Given that X = 18 when Y = 3 and Z = 4, find X when Y = 6 and Z = 16.
b) If Y increases by 10% and Z decreases by 19%, find the percentage increase in X.
Date posted:
August 26, 2019
.
Answers (1)
-
The table below shows how income tax was charged in a certain year.
(Solved)
The table below shows how income tax was charged in a certain year.

During the year Mwadime earned a basic salary of Ksh. 25,200 and a house allowance of Ksh. 12,600 per month. He was entitled to a personal tax relief of Ksh. 1,162 per month.
a) Calculate:
i) Mwadime’s taxable income in Kenya pounds per annum.
ii) The net tax he pays per month.
b) Apart from income tax he also contributes monthly NHIF Ksh. 1600, WCPS Ksh. 1000. Calculate his net monthly pay.
Date posted:
August 26, 2019
.
Answers (1)
-
(a)Sketch the graph of y = x2 + 5
(b) Using the mid-ordinate rule, with six strips, estimate the area enclosed by the curve, x-axis, y...
(Solved)
(a).Sketch the graph of y = x2 + 5
(b) Using the mid-ordinate rule, with six strips, estimate the area enclosed by the curve, x-axis, y – axis and the line x = 3.
(c) Find the exact area by integration
(d) Calculate the percentage error made when the two methods above are used
Date posted:
August 26, 2019
.
Answers (1)
-
A firm has a fleet of vans and trucks. Each van can carry 9 crates and 3 cartons. Each truck can carry 4 crates and 10...
(Solved)
A firm has a fleet of vans and trucks. Each van can carry 9 crates and 3 cartons. Each truck can carry 4 crates and 10 cartons. The firm has to deliver not more than 36 crates and at least 30 cartons.
(a) If x vans and y trucks are available to make the delivery. Write down inequalities to represent the
above information.
(b) Use the grid provided, to represent the inequalities in (a) above
(c) Given that the cost of using a truck is four times that of using a van, determine the number of vehicles that may give minimum cost
Date posted:
August 26, 2019
.
Answers (1)
-
A bus left Kitale at 10.45 a.m and travelled towards Nairobi at an average speed of 60 km/h. A Nissan left Kitale on the same...
(Solved)
A bus left Kitale at 10.45 a.m and travelled towards Nairobi at an average speed of 60 km/h. A Nissan left Kitale on the same day at 1.15 p.m and travelled along the same road at an average speed of 100 km/h. The distance between Kitale and Nairobi is 500 km.
a) Determine the time of the day when the Nissan overtook the bus.
b) Both vehicles continued towards Nairobi at their original speed. Find how long the Nissan had to wait in Nairobi before the bus arrived.
Date posted:
August 26, 2019
.
Answers (1)
-
Plot the triangle:
a) whose co-ordinates are A(1, 2) B(5, 4) and C(2, 6)
b) On the same axes
i) Draw the image A1B1C1 of ABC under...
(Solved)
Plot the triangle:
a) whose co-ordinates are A(1, 2) B(5, 4) and C(2, 6)
b) On the same axes
i) Draw the image A1B1C1 of ABC under a rotation of 90o clockwise about origin.
ii) Draw the image A11B11C11 of A1B1C1 under a reflection in the line y = -x. State the
coordinates of A11B11C11.
c) A111B111C111 is the image of A11B11C11 under the reflection in the line x = 0. Draw the image
A111B111C111 and state its coordinates.
d) Describe a single transformation that maps A111B111C111 onto ABC.
Date posted:
August 26, 2019
.
Answers (1)
-
A red and black dice are rolled and the events X, Y and Z are defined as follows.
X = The red die shows a 4
Y...
(Solved)
A red and black dice are rolled and the events X, Y and Z are defined as follows.
X = The red die shows a 4
Y – The sum of the scores of the two dice is 6
Z – The black die shows a 3
(a) Find the probability of event X
(b) The probability of events X and Z
(c) Which event is mutually exclusive to X
(d) Which event is independent of X
(e) The probability of event Y
Date posted:
August 26, 2019
.
Answers (1)
-
Without using mathematical tables or calculators express in surd form and simplify
(Solved)
Without using mathematical tables or calculators express in surd form and simplify

Date posted:
August 26, 2019
.
Answers (1)
-
Solve for x in the equation.
(Solved)
Solve for x in the equation.

Date posted:
August 26, 2019
.
Answers (1)
-
Vector OP = 6i + j and OQ = -2i + 5j. A point N divides PQ internally in the ratio 3:1. Find PN in...
(Solved)
Vector OP = 6i + j and OQ = -2i + 5j. A point N divides PQ internally in the ratio 3:1. Find PN in terms
of i and j.
Date posted:
August 26, 2019
.
Answers (1)
-
A small cone of height 8 cm is cut off from a bigger cone to leave a frustum of height 16 cm. If the volume...
(Solved)
A small cone of height 8 cm is cut off from a bigger cone to leave a frustum of height 16 cm. If the volume of the smaller cone is 160 cm3, find the volume of the frustum.
Date posted:
August 26, 2019
.
Answers (1)
-
The equation of a circle is given as 3x2 + 3y2– 12x + 18y + 8 = 0. Find the centre and radius of this...
(Solved)
The equation of a circle is given as 3x2 + 3y2– 12x + 18y + 8 = 0. Find the centre and radius of this circle.
Date posted:
August 26, 2019
.
Answers (1)
-
The life expectancy in hours of 106 bulbs are shown in the table below.Calculate the quantile deviation of the life expectancy
(Solved)
The life expectancy in hours of 106 bulbs are shown in the table below.

Calculate the quantile deviation of the life expectancy
Date posted:
August 26, 2019
.
Answers (1)
-
A salesman earns a basic salary of sh. 9,000 per month. In addition he is also paid a commission of 5% for sales above sh....
(Solved)
A salesman earns a basic salary of sh. 9,000 per month. In addition he is also paid a commission of 5% for sales above sh. 15,000. In a certain month he sold goods worth sh. 120,000 at a discount of 2½%. Calculate his total earnings that month.
Date posted:
August 26, 2019
.
Answers (1)
-
Expand (1 – 2x)6 in ascending powers of x up to the term in x3
(Solved)
Expand (1 – 2x)6 in ascending powers of x up to the term in x3
Date posted:
August 26, 2019
.
Answers (1)
-
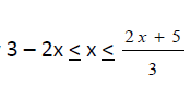
Solve the inequality
and show the solution on the number line.
(Solved)
Solve the inequality
and show the solution on the number line.
Date posted:
August 26, 2019
.
Answers (1)