-
Find the value of the term independent of x in the expansion of
(Solved)
Find the value of the term independent of x in the expansion of

Date posted:
August 27, 2019
.
Answers (1)
-
Evaluate without using tables or a calculator
(Solved)
Evaluate without using tables or a calculator

Date posted:
August 27, 2019
.
Answers (1)
-
By using completing square method, solve for x in 4x2 – 3x – 6 = 0
(Solved)
By using completing square method, solve for x in 4x2 – 3x – 6 = 0
Date posted:
August 27, 2019
.
Answers (1)
-
A plane leaves an airport x (41.50N, 36.40W) at 9.00a.m. and flies due North to airport y on latitude 53.20N.
(a) Calculate the distance covered by...
(Solved)
A plane leaves an airport x (41.50N, 36.40W) at 9.00a.m. and flies due North to airport y on latitude 53.20N.
(a) Calculate the distance covered by the plane in kilometers.
(b) After stopping for 30 minutes to refuel at Y, the plane then flies due east to airport Z, 2500km from Y. Find:-
(i) The position of Z.
(ii) The time the plane lands at Z, if its speed is 500km/h.
(Take the value of π as 22/7 and radius of the earth as 6370km)
Date posted:
August 27, 2019
.
Answers (1)
-
On arrival to Kenya a Canadian tourist exchanged his Canadian dollars for Ksh 199 690.Given that the currency exchange rate was 1 Canadian dollar =...
(Solved)
On arrival to Kenya a Canadian tourist exchanged his Canadian dollars for Ksh 199 690.Given that the currency exchange rate was 1 Canadian dollar = Ksh 52.55 and that the bank charged him 5% commission, find the number of dollars he exchanged.
Date posted:
August 27, 2019
.
Answers (1)
-
(a) Using the trapezoidal rule, estimate the area under the curve y = ½ x2– 2 between the lines x = 0 and x =...
(Solved)
(a) Using the trapezoidal rule, estimate the area under the curve y = ½ x2– 2 between the lines x = 0 and x = 6 using 6 strips.
(b) Use the integration to evaluate the exact area under the curve.
(c) Hence calculate the percentage error in calculating the area using trapezoidal rule.
Date posted:
August 27, 2019
.
Answers (1)
-
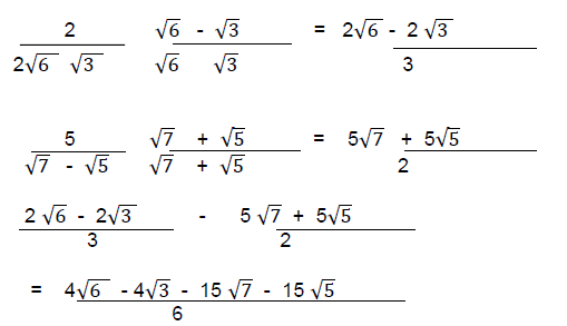
Without using a calculator or mathematical tables evaluate,
(Solved)
Without using a calculator or mathematical tables evaluate,
Date posted:
August 27, 2019
.
Answers (1)
-
Three variables p, q and r are such that p varies directly as q and inversely as the square of r.
(a) When p = 18,...
(Solved)
Three variables p, q and r are such that p varies directly as q and inversely as the square of r.
(a) When p = 18, q = 24 and r = 4.Find p when q = 30 and r = 10.
(b) Express q in terms of p and r.
(c) If p is increased by 20% and r is decreased by 10% find:
(i) A simplified expression for the change in q in terms of p and r.
(ii) The percentage change in q.
Date posted:
August 27, 2019
.
Answers (1)
-
A spherical solid lead of diameter 12cm weighs 6.4kg. How much would a similar solid of a diameter 10cm weigh?
(Solved)
A spherical solid lead of diameter 12cm weighs 6.4kg. How much would a similar solid of a diameter 10cm weigh?
Date posted:
August 27, 2019
.
Answers (1)
-
The LCM of two numbers is 328,600 and the GCD is 20. If one of the numbers is 1240, use prime factorization method, find the...
(Solved)
The LCM of two numbers is 328,600 and the GCD is 20. If one of the numbers is 1240, use prime factorization method, find the other number.
Date posted:
August 27, 2019
.
Answers (1)
-
Solve for x in sin (x-15)-cos(x+5)=15
(Solved)
Solve for x in sin (x-15)-cos(x+5)=15
Date posted:
August 27, 2019
.
Answers (1)
-
Mwenda borrowed a short-term loan of Shs. 300,000 from a bank and arranged to pay back in three equal yearly installments of sh. 100,000 each....
(Solved)
Mwenda borrowed a short-term loan of Shs. 300,000 from a bank and arranged to pay back in three equal yearly installments of sh. 100,000 each. The bank charges compound interest at the rate of 20% per annum and ledger fee at 2 ½ per annum on any outstanding balance at the beginning of that year. In order to clear the loan on time, Mwenda paid the installment plus interest and ledger fee at the end of each year for three years. Calculate the total amount of money Mwenda paid back in order to clear the loan.
Date posted:
August 27, 2019
.
Answers (1)
-
Evaluate
(Solved)
Evaluate 
Date posted:
August 27, 2019
.
Answers (1)
-
The figure below represents a triangular prism. The faces ABCD, ADEF and CBFE are rectangles. AB = 8cm, BC = 14cm, BF = 7cm and...
(Solved)
The figure below represents a triangular prism. The faces ABCD, ADEF and CBFE are rectangles. AB = 8cm, BC = 14cm, BF = 7cm and AF = 7cm.

Calculate the angles between faces BCEF and ABCD.
Date posted:
August 27, 2019
.
Answers (1)
-
The data below represents the ages in months at which 6 babies started walking; 9, 11, 12, 13, 11 and 10. Without using a calculator,...
(Solved)
The data below represents the ages in months at which 6 babies started walking; 9, 11, 12, 13, 11 and 10. Without using a calculator, find the exact value of the variance of the data.
Date posted:
August 27, 2019
.
Answers (1)
-
A curve is given by the equation y = 5x3 – 7x3 + 3x + 2. Find the gradient of the curve at x...
(Solved)
A curve is given by the equation y = 5x3 – 7x3 + 3x + 2. Find the gradient of the curve at x = 1.
Date posted:
August 27, 2019
.
Answers (1)
-
A box contains 6 yellow balls, 4 white balls and 2 blue balls, all balls being similar in shape. A ball is picked at random...
(Solved)
A box contains 6 yellow balls, 4 white balls and 2 blue balls, all balls being similar in shape. A ball is picked at random without replacement and its colour noted. Use a tree diagram to determine the probability that at least one of the first two balls picked is blue.
Date posted:
August 27, 2019
.
Answers (1)
-
Three warships P, Q and R leave port X at 9:00am. Ship P sails at a steady speed on a bearing of 070°, 100km from...
(Solved)
Three warships P, Q and R leave port X at 9:00am. Ship P sails at a steady speed on a bearing of 070°, 100km from port X, while ship Q sails on a bearing of 320°, 80km from X. Ship R is on a bearing of 150° from port X and due south of ship P.
a) Using a ruler and compasses only construct a scale drawing to show the position of P,Q,R and X
b) Use the scale drawing to determine
i) the distance and bearing of ship P from ship Q
ii) the distance of ship R from port X
iii) the distance of ship R from ship P
Date posted:
August 27, 2019
.
Answers (1)
-
Make n the subject of the formula.
(Solved)
Make n the subject of the formula.

Date posted:
August 27, 2019
.
Answers (1)
-
Use logarithm tables to evaluate
(Solved)
Use logarithm tables to evaluate

Date posted:
August 27, 2019
.
Answers (1)