-
Solve the following simultaneous equations.
(Solved)
Solve the following simultaneous equations.
x2 + y2=26
x + y=4
Date posted:
August 28, 2019
.
Answers (1)
-
Find the values of w, and v in the figure.
(Solved)
Find the values of w, and v in the figure.

Date posted:
August 28, 2019
.
Answers (1)
-
Find correct to 3s.f the value of;
(Solved)
Find correct to 3s.f the value of; without using a calculator.

Date posted:
August 28, 2019
.
Answers (1)
-
The distance between points P and Q on a section of a straight road is 12km.
(Solved)
The distance between points P and Q on a section of a straight road is 12km. Mukai and Mutua left points P and Q respectively at the same time and moved towards each other at 1m/sec and 1.5m/s respectively.
Calculate:
a) their relative speed.
b) The time they will take before meeting.
Date posted:
August 28, 2019
.
Answers (1)
-
John spent two thirds of his salary on food, a third of the remainder on rent and saved the rest.What fraction of his salary did...
(Solved)
John spent
of his salary on food, a
of the remainder on rent and saved the rest.
What fraction of his salary did he save? If he spent Sh.1200 on food, how much did he spend on rent.
Date posted:
August 28, 2019
.
Answers (1)
-
Line L passes through P(8,6) and is perpendicular to the line 3y + 2x + 6 = 0.
(Solved)
Line L passes through P(8,6) and is perpendicular to the line 3y + 2x + 6 = 0. Find the equation of line L and write it in the form y = mx + c.
Date posted:
August 28, 2019
.
Answers (1)
-
A container 18cm high holds 225cm3.
(Solved)
A container 18cm high holds 225cm3. Calculate the volume of a similar container which is 72cm high.
Date posted:
August 28, 2019
.
Answers (1)
-
Three consecutive odd numbers add up to 369.
(Solved)
Three consecutive odd numbers add up to 369. Determine the three numbers.
Date posted:
August 28, 2019
.
Answers (1)
-
Evaluate without using a calculator
(Solved)
Evaluate without using a calculator

Date posted:
August 28, 2019
.
Answers (1)
-
Without using a Mathematical tables or a calculator, evaluate.
(Solved)
Without using a Mathematical tables or a calculator, evaluate.

Date posted:
August 27, 2019
.
Answers (1)
-
A bucket in the shape of a frustum as shown in the diagram. It has diameters of 36cm and 24cm. Calculate the volume of the...
(Solved)
A bucket in the shape of a frustum as shown in the diagram. It has diameters of 36cm and 24cm. Calculate the volume of the bucket.

Date posted:
August 27, 2019
.
Answers (1)
-
Find the stationary points of the curve to (1 d.p)
(Solved)
(a) Find the stationary points of the curve to (1 d.p)

(b) Find the x and y intercepts of the curve above.
(c) Sketch the curve.
Date posted:
August 27, 2019
.
Answers (1)
-
The figure below shows a circle with segments cut off by a triangle whose longest side AB is the largest possible chord of a circle....
(Solved)
The figure below shows a circle with segments cut off by a triangle whose longest side AB is the largest possible chord of a circle. Determine the area shaded given that AB = 14cm and AC = BC.

Date posted:
August 27, 2019
.
Answers (1)
-
Construct a circle centre K and radius 2.5cm. Construct a tangent from a point Q which is 6cm from K to touch the circle at...
(Solved)
Construct a circle centre K and radius 2.5cm. Construct a tangent from a point Q which is 6cm from K to touch the circle at M. Measure the length QM.
Date posted:
August 27, 2019
.
Answers (1)
-
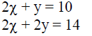
Use the inverse matrix method rule to solve simultaneous equations.
(Solved)
Use the inverse matrix method rule to solve simultaneous equations.

Date posted:
August 27, 2019
.
Answers (1)
-
Chord AB is of length 8cm and the maximum distance between chord and lower part of circle is 2cm. Determine the radius of the circle.
(Solved)
Chord AB is of length 8cm and the maximum distance between chord and lower part of circle is 2cm. Determine the radius of the circle.

Date posted:
August 27, 2019
.
Answers (1)
-
(a) A radio station tower was built in two sections. From a point 870m from the base of the tower, the angle of elevation of...
(Solved)
(a) A radio station tower was built in two sections. From a point 870m from the base of the tower, the angle of elevation of the top of the first section is 250 and the angle of elevation of the top of the second section is 400. What is the height of the top section of the tower?
(b)Two vertical poles on horizontal ground are 60m apart. The shorter pole is 3m high. The angle of depression of the top of the shorter pole from the top of the longer pole is 200. Using scale drawing, find the length of the longer pole.
Date posted:
August 27, 2019
.
Answers (1)
-
Kinyua bought soya and millet at sh.65 per kg and sh.40 per kg respectively. He then mixed them and sold the mixture at sh.60 per...
(Solved)
Kinyua bought soya and millet at sh.65 per kg and sh.40 per kg respectively. He then mixed them and sold the mixture at sh.60 per kg making a profit of 20%. Determine the ratio of soya to millet in mixture.
Date posted:
August 27, 2019
.
Answers (1)
-
It would take 18 men 12 days to dig a piece of land. If they work for 8 hours a day, how long will it...
(Solved)
It would take 18 men 12 days to dig a piece of land. If they work for 8 hours a day, how long will it take 24 men if they work 12 hours to cultivate three quarters of the same land.
Date posted:
August 27, 2019
.
Answers (1)
-
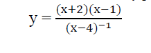
Make x the subject of the formula:
(Solved)
Make x the subject of the formula:

Date posted:
August 27, 2019
.
Answers (1)