-
The figure below shows a toy which consists of a conical top and a hemispherical base.The hemispherical base has a radius of 5cm and the...
(Solved)
The figure below shows a toy which consists of a conical top and a hemispherical base.

The hemispherical base has a radius of 5cm and the total height of the toy is 17cm. calculate the volume of the toy. (Take pi = 3.142)
Date posted:
August 30, 2019
.
Answers (1)
-
Given that P varies directly as V and inversely as the cube of R and that P = 12 when V = 3 and R...
(Solved)
Given that P varies directly as V and inversely as the cube of R and that P = 12 when V = 3 and R = 2,
(a) Find an equation connecting P, V and R.
(b) Find the value of V when P = 10 and R = 1.5
Date posted:
August 30, 2019
.
Answers (1)
-
Make h the subject of the formula.
(Solved)
Make h the subject of the formula.

Date posted:
August 30, 2019
.
Answers (1)
-
Use logarithms to evaluate:
(Solved)
Use logarithms to evaluate:

Date posted:
August 30, 2019
.
Answers (1)
-
A and B are fixed points 5cm apart. P is a veriable point in the plane containing AB. Sketch the locus of P and describe...
(Solved)
A and B are fixed points 5cm apart. P is a veriable point in the plane containing AB. Sketch the locus of P and describe it fully in words if it must be satisfied by the following conditions.
a) AP is perpendicular to BD,
b) The area of triangle APB is 6.25 cm2
c) Measure Angle APB
Date posted:
August 30, 2019
.
Answers (1)
-
In the figure below, O is the centre of the circle. The reflex angle POS =2540 and angle PRT = 520 Calculate
a) Angle QSR
b)...
(Solved)
In the figure below, O is the centre of the circle. The reflex angle POS =2540 and angle PRT = 520 Calculate

a) Angle QSR
b) Angle QPT
c) Angle QOT, reflex
d) Angle OST
Date posted:
August 30, 2019
.
Answers (1)
-
The masses of 40 babies born in a clinic were recorded as shown in the table below
Calculate
a) the mean mass using an assumed mean of...
(Solved)
The masses of 40 babies born in a clinic were recorded as shown in the table below

Calculate
a) the mean mass using an assumed mean of 2.7 Kg
b) the median mass
c) If 18 % of them were born underweight, determine how many children were the correct weight at birth.
Date posted:
August 30, 2019
.
Answers (1)
-
A board 1m long and 80cm wide costs Sh. 62.40. What would be the cost of a similar shaped board 75cm long.
(Solved)
A board 1m long and 80cm wide costs Sh. 62.40. What would be the cost of a similar shaped board 75cm long.
Date posted:
August 30, 2019
.
Answers (1)
-
Simplify the expression below.
(Solved)
Simplify the expression below.

Date posted:
August 30, 2019
.
Answers (1)
-
The Point x divides RS externally in the ratio 7:2. If R(5,2) and S(-4,1), determine the magnitude of OX.
(Solved)
The Point x divides RS externally in the ratio 7:2. If R(5,2) and S(-4,1), determine the magnitude of OX.
Date posted:
August 30, 2019
.
Answers (1)
-
A motorist left Namanga, a distance of 150 Km at 8:00 am and traveled to Emali at an average speed of 90 Km/hr. Another motorist...
(Solved)
A motorist left Namanga, a distance of 150 Km at 8:00 am and traveled to Emali at an average speed of 90 Km/hr. Another motorist left Emali for Namanga at 8:30 am and traveled at 100km/hr. Calculate:
a) the time they met
b) how far they met from Emali
Date posted:
August 30, 2019
.
Answers (1)
-
In the figure below, O is the centre of the circle. Determine angle ADB
(Solved)
In the figure below, O is the centre of the circle. Determine angle ADB

Date posted:
August 30, 2019
.
Answers (1)
-
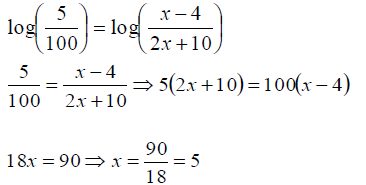
Given that log (3x – 7) = 3 log 5. Calculate x.
(Solved)
Given that log (3x – 7) = 3 log 5. Calculate x.
Date posted:
August 30, 2019
.
Answers (1)
-
Determine the constant term in the expansion of
(Solved)
Determine the constant term in the expansion of

Date posted:
August 30, 2019
.
Answers (1)
-
In a dark room, there are 2 pairs of blue stockings and 3 pairs of yellow stockings. If John walks into the room and picks...
(Solved)
In a dark room, there are 2 pairs of blue stockings and 3 pairs of yellow stockings. If John walks into the room and picks two pair of socks, one at a time, what is the probability that picks socks of different colors?
Date posted:
August 30, 2019
.
Answers (1)
-
Calculate the volume of a liquid weighing 0.9kg/litre which must be mixed with another liquid weighing 0.77 kg/litre which must be mixed with another liquid...
(Solved)
Calculate the volume of a liquid weighing 0.9kg/litre which must be mixed with another liquid weighing 0.77 kg/litre which must be mixed with another liquid weighing 0.75 kg/litre to produce a blend weighing 0.8kg/litre
Date posted:
August 30, 2019
.
Answers (1)
-
Factorize and simplify
(Solved)
Factorize and simplify
4x2 + 6xy + 4xz + 6yz
Date posted:
August 30, 2019
.
Answers (1)
-
Use mathematical tables to evaluate
(Solved)
Use mathematical tables to evaluate

Date posted:
August 30, 2019
.
Answers (1)
-
Given that P = QXn make n the subject of the formula and simplify your answer.
(Solved)
Given that P = QXⁿ make n the subject of the formula and simplify your answer.
Date posted:
August 29, 2019
.
Answers (1)
-
Differentiate with respect to x
(Solved)
Differentiate with respect to x

Date posted:
August 29, 2019
.
Answers (1)