-
Line L1 passes through the points (-1, 3) and (3, -5).
(Solved)
Line L1 passes through the points (-1, 3) and (3, -5). Line L2 is parallel to L1 and has a perpendicular
bisector at (-2, 4). Find the equation of the perpendicular bisector in the form ax + by = C
Date posted:
September 6, 2019
.
Answers (1)
-
In the triangle ABC below. AC = 8cm and BC = 5cm and angle BCA = 30°.
(Solved)
In the triangle ABC below. AC = 8cm and BC = 5cm and angle BCA = 30°. Point D divides BC in the ratio 1: 4 and point E divides AC in the ratio 2: 3. Find the area of the quadrilateral ABDE.

Date posted:
September 6, 2019
.
Answers (1)
-
Solve for x in 27x+1 - 33x+2 – 400 = 86.
(Solved)
Solve for x in 27x+1 - 33x+2 – 400 = 86.
Date posted:
September 6, 2019
.
Answers (1)
-
Determine the values of x that satisfy the following inequalities and show the solution on a number line.
(Solved)
Determine the values of x that satisfy the following inequalities and show the solution on a number line.

Date posted:
September 6, 2019
.
Answers (1)
-
Use reciprocal and square tables to calculate to 3 significant figures the value of:
(Solved)
Use reciprocal and square tables to calculate to 3 significant figures the value of:

Date posted:
September 6, 2019
.
Answers (1)
-
Convert 0.6331 into a fraction without using a calculator.
(Solved)
Convert
into a fraction without using a calculator
Date posted:
September 6, 2019
.
Answers (1)
-
Evaluate without using a calculator or Mathematical tables.
(Solved)
Evaluate without using a calculator or Mathematical tables.

Date posted:
September 6, 2019
.
Answers (1)
-
If three numbers 36, 54 and x have a GCD of 6 and LCM of 216.
(Solved)
If three numbers 36, 54 and x have a GCD of 6 and LCM of 216. Find the least value of x
Date posted:
September 6, 2019
.
Answers (1)
-
Find the difference between the GCD and the LCM of 36 and 54.
(Solved)
Find the difference between the GCD and the LCM of 36 and 54.
Date posted:
September 6, 2019
.
Answers (1)
-
The displacement S metres of a body moving along a straight line after t seconds is given by
(Solved)
The displacement S metres of a body moving along a straight line after t seconds is given by

(a) Find its initial acceleration.
(b) Calculate:-
(i) The time when the body was momentarily at rest.
(ii) Its displacement by the time it comes to rest momentarily
(c) Calculate the maximum velocity attained
Date posted:
September 6, 2019
.
Answers (1)
-
In the figure, E is the midpoint of AB and OD:OB = 2:5 and F is the point of intersection of OE and AD.
(Solved)
In the figure, E is the midpoint of AB and OD:OB = 2:5 and F is the point of intersection of OE and AD.

(b) Given further that AF = tAD and OF = hOE where t and h are scalars, find the values of t and h
(c) Show that the points O, F and E are collinear
Date posted:
September 6, 2019
.
Answers (1)
-
The figure below shows a model of a solid in the shape of a frustum of a cone with a hemispherical top.
(Solved)
The figure below shows a model of a solid in the shape of a frustum of a cone with a hemispherical top.

The diameter of the hemispherical top is 70cm and is equal to the diameter of the top of the frustum. The
frustum has a base diameter of 28cm and a slant height of 60cm.
(a) Calculate the area of the hemispherical surface.
(b) Calculate the slant height of the cone from which the frustum was cut.
(c) Calculate the total surface area of the model
Date posted:
September 6, 2019
.
Answers (1)
-
The diagram below shows two circles centre A and B which intersect at point P and Q. Angle PBQ = 400 and angle PAQ =...
(Solved)
The diagram below shows two circles centre A and B which intersect at point P and Q. Angle PBQ = 400 and angle PAQ = 700, and PA = AQ = 8cm.

Use the diagram to calculate to two d.p
(a) The length PQ
(b) The length PB
(c) Area of minor segment of circle centre A
(d) Area of minor segment of circle centre B
(e) The area of shaded region.
Date posted:
September 6, 2019
.
Answers (1)
-
Three partners Mutua, Muthoka and Mwikali contributed Sh. 600,000, Sh. 400,000 and Sh. 800,000
respectively
(Solved)
Three partners Mutua, Muthoka and Mwikali contributed Sh. 600,000, Sh. 400,000 and Sh. 800,000
respectively to start a business of a matatu plying Mbumbuni – Machakos route. The matatu carries 14
passengers with each paying Sh. 250. The matatu makes two round trips each day and ever full. Each day
Sh. 6000 is used to cover running costs and wages.
(a) Calculate their net profit per day.
(b) The matatu works for 25 days per month and is serviced every month at a cost of KSh.10, 000. Calculate their monthly profit in June.
(c) The three partners agreed to save 40% of the profit, 24% to be shared in the ratio of their contribution. Calculate Muthoka’s share in the month of July
(d) The matatu developed mechanical problems and they decided to sell it through an agent who charged a commission of 5% on selling price. Each partner received KSh. 475,000 from the agent after he had taken his commission. Determine the price at which the agent sold the matatu.
Date posted:
September 6, 2019
.
Answers (1)
-
In the figure below O is the centre of circle PQRS.
(Solved)
In the figure below O is the centre of circle PQRS. angle PTS = 560 and angle PQS = 280 and TPQ is a straight line

Find:
(a) angle TSP
(b) angle PRQ
Date posted:
September 6, 2019
.
Answers (1)
-
Mutua bought 8 pairs of trousers and six shirts at Sh. 4160.
(Solved)
Mutua bought 8 pairs of trousers and six shirts at Sh. 4160. Had he bought twice as many shirts and half
as many trousers, he would have saved Sh. 160. Find the cost of each item.
Date posted:
September 6, 2019
.
Answers (1)
-
Use a calculator to work out.
(Solved)
Use a calculator to work out.

Date posted:
September 6, 2019
.
Answers (1)
-
The figure below AB//CD, AD and BC intersect at T.
(Solved)
The figure below AB//CD, AD and BC intersect at T. Given that AT:TD = 1:3 and CB = 12cm.
Calculate the length of TB

Date posted:
September 6, 2019
.
Answers (1)
-
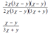
Solve for x in the equation
(Solved)
Solve for x in the equation

Date posted:
September 5, 2019
.
Answers (1)
-
In the figure below PQRS is a rectangle in which PS = 10cm and PQ = 6cm
(Solved)
In the figure below PQRS is a rectangle in which PS = 10cm and PQ = 6cm. M and N are midpoints of
QR and RS respectively. Find the area of the shaded part.

Date posted:
September 5, 2019
.
Answers (1)