-
In an experiment to determine the focal length of a converging lens several values of image distance and the corresponding magnification were obtained. A graph...
(Solved)
In an experiment to determine the focal length of a converging lens several values of image distance and the corresponding magnification were obtained. A graph of magnification m against image distance (V) was plotted as shown below.

From the graph determine the focal length of the converging lens.
Date posted:
September 9, 2019
.
Answers (1)
-
The figure below represents a pinhole camera.Sketch rays to show the formation of an enlarged image in the camera. Label both the image and the...
(Solved)
The figure below represents a pinhole camera.Sketch rays to show the formation of an enlarged image in the camera. Label both the image and the object.

Date posted:
September 9, 2019
.
Answers (1)
-
The figure below shows a bar magnet. Point A and B are in front of the magnet.On the axis provided, sketch a graph showing how...
(Solved)
The figure below shows a bar magnet. Point A and B are in front of the magnet.

On the axis provided, sketch a graph showing how the magnetic field strength changes from A to B.

Date posted:
September 9, 2019
.
Answers (1)
-
A pendulum bob is whirled with uniform speed in a horizontal circle of radius 20cm.The bob describes an arc of length 5cm within 15 seconds.Calculate
i)...
(Solved)
A pendulum bob is whirled with uniform speed in a horizontal circle of radius 20cm.The bob describes an arc of length 5cm within 15 seconds.Calculate
i) Angular velocity
ii) The uniform speed of the bob along the circular path
iii) The frequency with the bob moves along the circular path
iv) State why the bob is accelerating yet it moves with the uniform speed along its path
Date posted:
September 9, 2019
.
Answers (1)
-
The following set-up was used by a student to determine the relative density of a cork
(Solved)
The following set-up was used by a student to determine the relative density of a cork

During the experiment, the following measurements were taken:-
- Weight of sinker in water = w1
- Weight of sinker in water and cork in air = w2
- Weight of sinker and cork in water = w3
(i) Write an expression for the up thrust on cork
(ii) Write an expression for the relative density of the cork
Date posted:
September 9, 2019
.
Answers (1)
-
The diagram below shows a wooden log 12m long, density 800kg/m3 and cross-sectional area 0.06m< sup>2floating upright in sea water of density 1.03g/cm3, such that...
(Solved)
The diagram below shows a wooden log 12m long, density 800kg/m3 and cross-sectional area 0.06m< sup>2floating upright in sea water of density 1.03g/cm3, such that a third of it is covered by water.

(i) Determine the weight of the block
(ii) The up-thrust on the block
(iii) The minimum weight that can be placed on the block to just make it fully submerged
Date posted:
September 9, 2019
.
Answers (1)
-
Two spring Q and R have proportionality constants 20Nm-1 and 25Nm-1 respectively. Q weighs 0.2 N while the weight of R is negligible. The two...
(Solved)
Two spring Q and R have proportionality constants 20Nm-1 and 25Nm-1 respectively. Q weighs 0.2 N while the weight of R is negligible. The two springs are arranged to support a load of 3.0N as shown in the diagram that follows.

Determine the extension in
i) Q
ii) R
Date posted:
September 9, 2019
.
Answers (1)
-
The graph shows how extension e of a helical spring varied with load, hanging on it. (cm).Determine from the graph, the proportionality constant of the...
(Solved)
The graph shows how extension e of a helical spring varied with load, hanging on it. (cm).Determine from the graph, the proportionality constant of the spring.

Date posted:
September 9, 2019
.
Answers (1)
-
A body of mass 4.0 kg held at a vertical height of 500cm is released to travel along a frictionless curved path as shown in...
(Solved)
A body of mass 4.0 kg held at a vertical height of 500cm is released to travel along a frictionless curved path as shown in the figure below.The 4.0kg mass strikes body of mass 6.0kg at rest immediately it reaches the horizontal. The bodies stick together and move in the same direction. Determine the velocity of the bodies immediately after collision.

Date posted:
September 9, 2019
.
Answers (1)
-
The figure below shows a simple pendulum of length 80 cm. the pendulum bob whose mass is 50 g oscillates between points A and B,...
(Solved)
The figure below shows a simple pendulum of length 80 cm. the pendulum bob whose mass is 50 g oscillates between points A and B, through its rest position C. A and B are both 10 cm higher than C.

(a) State the form of energy possessed by the pendulum bob at point A
(b) Determine
(i) The velocity of the bob at point C
(ii) The tension in the string as the bob passes point C
(Take acceleration due to gravity g=10m/s2
Date posted:
September 9, 2019
.
Answers (1)
-
The figure below shows an inclined plane and a load of mass 15kg pulled by an effort of 100N.Find the efficiency of the machine.
(Solved)
The figure below shows an inclined plane and a load of mass 15kg pulled by an effort of 100N.Find the efficiency of the machine.

Date posted:
September 9, 2019
.
Answers (1)
-
The figure below show a uniform metre rule balanced when pivoted at the 30cm mark under the conditions of forces as shown below.Calculate the weight...
(Solved)
The figure below show a uniform metre rule balanced when pivoted at the 30cm mark under the conditions of forces as shown below.

Calculate the weight W of the rule.
Date posted:
September 9, 2019
.
Answers (1)
-
The figure below shows water flowing through two sections A and B of a pipe having different cross-sectional area.Indicate and explain the water level in...
(Solved)
The figure below shows water flowing through two sections A and B of a pipe having different cross-sectional area.Indicate and explain the water level in manometer B.

Date posted:
September 9, 2019
.
Answers (1)
-
The figure below shows a U-tube manometer containing a gas, mercury and water. Calculate the gas pressure acting on the mercury. (Take atmospheric pressure to...
(Solved)
The figure below shows a U-tube manometer containing a gas, mercury and water. Calculate the gas pressure acting on the mercury. (Take atmospheric pressure to be 1.05 x 105 pa, density of mercury and water to be 13600kg/m3 and 1000kg/m3 respectively).

Date posted:
September 9, 2019
.
Answers (1)
-
The figure below shows three wooden blocks resting on a flat surface. (They are of the same material).
(Solved)
The figure below shows three wooden blocks resting on a flat surface. (They are of the same material).

i) Arrange them starting from the least stable.
(ii) State the factor that you have considered in (i) above.
Date posted:
September 9, 2019
.
Answers (1)
-
The figure below shows an electromagnetic relay being used to switch an electric motor on and off. The electromagnet consists of a coil of wire...
(Solved)
The figure below shows an electromagnetic relay being used to switch an electric motor on and off. The electromagnet consists of a coil of wire wrapped around a core. The motor in figure is switched off.

(a) Suggest suitable material for the core.
(b) What happens to the core when switch S is closed?
(c) Why do the contacts A and B close when the switch S is closed.
(d) When the switch S is opened, what will happen to;
(i) The core
(ii) Soft iron armature.
Date posted:
September 9, 2019
.
Answers (1)
-
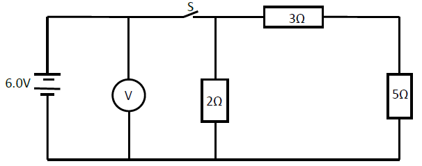
The figure below shows a circuit with resistors and voltmeter connected to a battery.
(Solved)
The figure below shows a circuit with resistors and voltmeter connected to a battery.

(i) If each cell has an internal resistance of 0.7 ohms, determine the total resistance in the circuit.
(ii) What amount of current flows through the 3 ohms resistor when the switch is closed?
(iii) What is the reading of the voltmeter when the switch S is
(I) Open
(II) Closed
(iv) Account for the difference between the answers in (I) and (II) above.
Date posted:
September 9, 2019
.
Answers (1)
-
A coin is placed at the bottom of a tall jar. The jar is filled with paraffin to a depth of 32.4 cm and the...
(Solved)
A coin is placed at the bottom of a tall jar. The jar is filled with paraffin to a depth of 32.4 cm and the coin is apparently seen displaced 9.9 cm from the bottom. Determine the refractive index of air with respect to paraffin.
Date posted:
September 6, 2019
.
Answers (1)
-
A transformer has 200 turns in the primary coil and 1000 turns in the secondary coil. The primary coil is connected to an a.c source...
(Solved)
A transformer has 200 turns in the primary coil and 1000 turns in the secondary coil. The primary coil is connected to an a.c source producing 100 V and rated 500 W. The current delivered by the secondary circuit was found to be 0.95 A.
(i) Determine the efficiency of this transformer.
(ii) Explain why the efficiency is less than 100%.
Date posted:
September 6, 2019
.
Answers (1)
-
A bar magnet is pushed into a coil as shown in the figure below.
(Solved)
A bar magnet is pushed into a coil as shown in the figure below.

Explain what happens to the pointer of the galvanometer when the magnet is:
(i) Moved into the coil rapidly?
(ii) Remains stationary inside the coil?
Date posted:
September 6, 2019
.
Answers (1)